Open Access

Fig. 11

image

Download original image

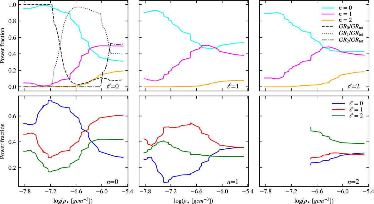
Relative power fractions of the radial, dipole, and quadrupole modes as a function of stellar mean density. The top row shows the relative power distribution across radial orders for each angular degree ℓ, calculated as Pn/Pn$P_{n}^{\ell} / {\sum}_{\ell^{\prime}} P_{n}^{\ell^{\prime}}$. The black-lines in the leftmost panel indicate the fractions of the growth rates of the fundamental, first and second overtones relative to summed-up growth rates, providing a means of comparing the relative amplitudes derived from linear 1D models (Trabucchi et al. 2019), as described in Sect. 3.2. The bottom row displays the relative power for each angular degree at a given radial order n, calculated as Pn/nPn$P_{n}^{\ell} / \sum n^{\prime} P^{\ell} n^{\prime}$. These plots illustrate how the dominant mode shifts depending on the mean density and radial order. Note that all power values are evaluated at the stellar surface for each identified mode.

Current usage metrics show cumulative count of Article Views (full-text article views including HTML views, PDF and ePub downloads, according to the available data) and Abstracts Views on Vision4Press platform.

Data correspond to usage on the plateform after 2015. The current usage metrics is available 48-96 hours after online publication and is updated daily on week days.

Initial download of the metrics may take a while.