Open Access

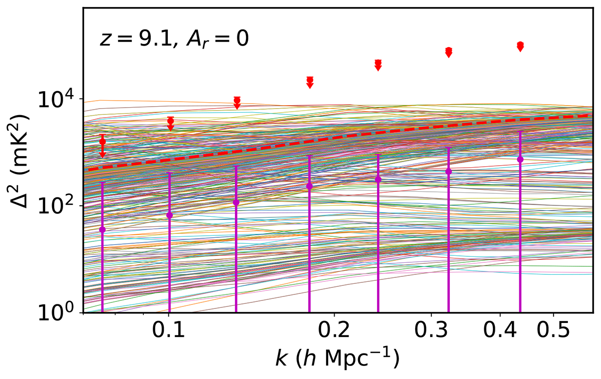
Fig. C.1.

image

Download original image

A subset of 1000 power spectra simulated with GRIZZLY at z = 9.1. These power spectra correspond to those with Ar = 0. The red and magenta points refer to the recent LOFAR 1σ upper limits from Mertens et al. (2025) and Acharya et al. (2024c), respectively. As a reference, the red dashed line corresponds to the power spectrum for a completely neutral IGM with no X-ray heating and TS = TK.

Current usage metrics show cumulative count of Article Views (full-text article views including HTML views, PDF and ePub downloads, according to the available data) and Abstracts Views on Vision4Press platform.

Data correspond to usage on the plateform after 2015. The current usage metrics is available 48-96 hours after online publication and is updated daily on week days.

Initial download of the metrics may take a while.