Open Access

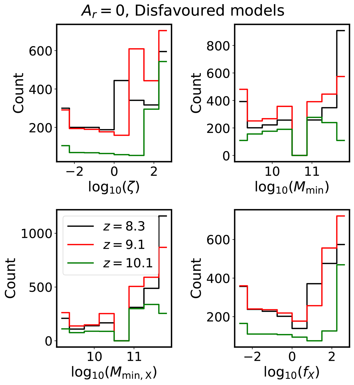
Fig. 2.

image

Download original image

Histogram of the disfavoured values of the source parameters for the scenario with Ar = 0. These correspond to the models with power spectra values larger than Δ212(k, z)−Δ21, err2(k, z) in at least one k-bin, and they have a high probability of being ruled out by the recent LOFAR 1σ upper limits (Δ212(k, z)±Δ21, err2(k, z)) from Mertens et al. (2025).

Current usage metrics show cumulative count of Article Views (full-text article views including HTML views, PDF and ePub downloads, according to the available data) and Abstracts Views on Vision4Press platform.

Data correspond to usage on the plateform after 2015. The current usage metrics is available 48-96 hours after online publication and is updated daily on week days.

Initial download of the metrics may take a while.