Open Access

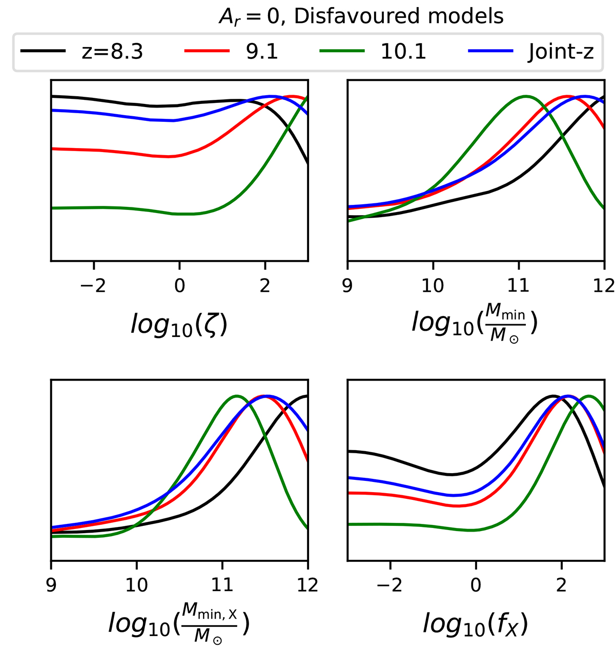
Fig. 5.

image

Download original image

Marginalised probability distribution of the disfavoured values of the source parameters for the Ar = 0 scenario. The corresponding models are disfavoured by the LOFAR upper limits from Mertens et al. (2025) at z = 9.1. The black, red, and green curves refer to the Single-z case at z = 8.3, 9.1 and 10.1, respectively, while the blue curves are for the Joint-z analysis case.

Current usage metrics show cumulative count of Article Views (full-text article views including HTML views, PDF and ePub downloads, according to the available data) and Abstracts Views on Vision4Press platform.

Data correspond to usage on the plateform after 2015. The current usage metrics is available 48-96 hours after online publication and is updated daily on week days.

Initial download of the metrics may take a while.