Open Access

Fig. 15

image

Download original image

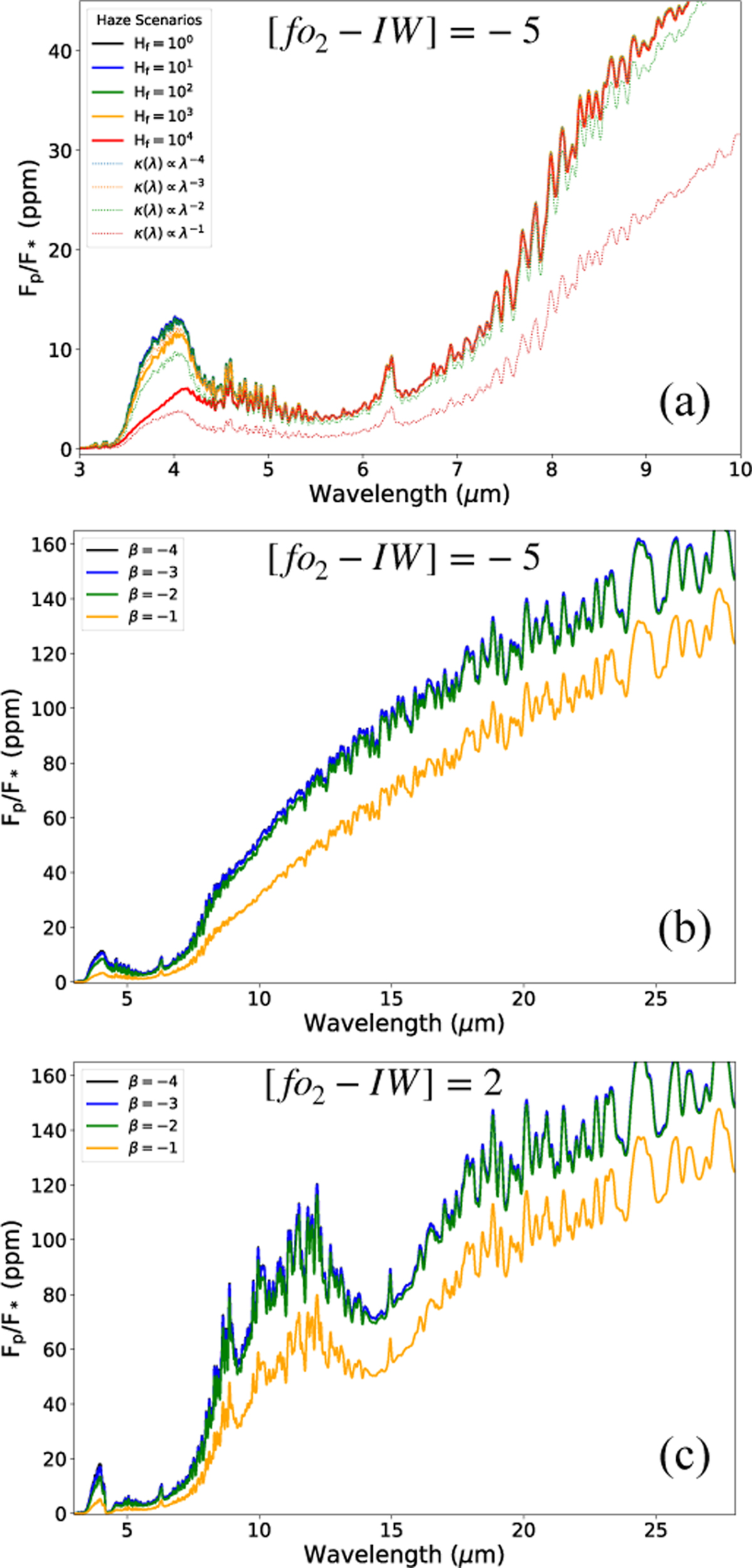
Effects of photochemical haze aerosols. (a) Reduced atmospheric scenario with ac = 10−6 and surface pressure 1 bar is simulated across the haze enhancement factor Hf and β. (b) Same atmosphere as (a), but the full spectral range is presented and across β variances. (c) Oxidized atmosphere with ac = 10−6 and surface pressure 1 bar is presented to show the effects on the 15 μm CO2 absorption band.

Current usage metrics show cumulative count of Article Views (full-text article views including HTML views, PDF and ePub downloads, according to the available data) and Abstracts Views on Vision4Press platform.

Data correspond to usage on the plateform after 2015. The current usage metrics is available 48-96 hours after online publication and is updated daily on week days.

Initial download of the metrics may take a while.