Open Access

Fig. 6

image

Download original image

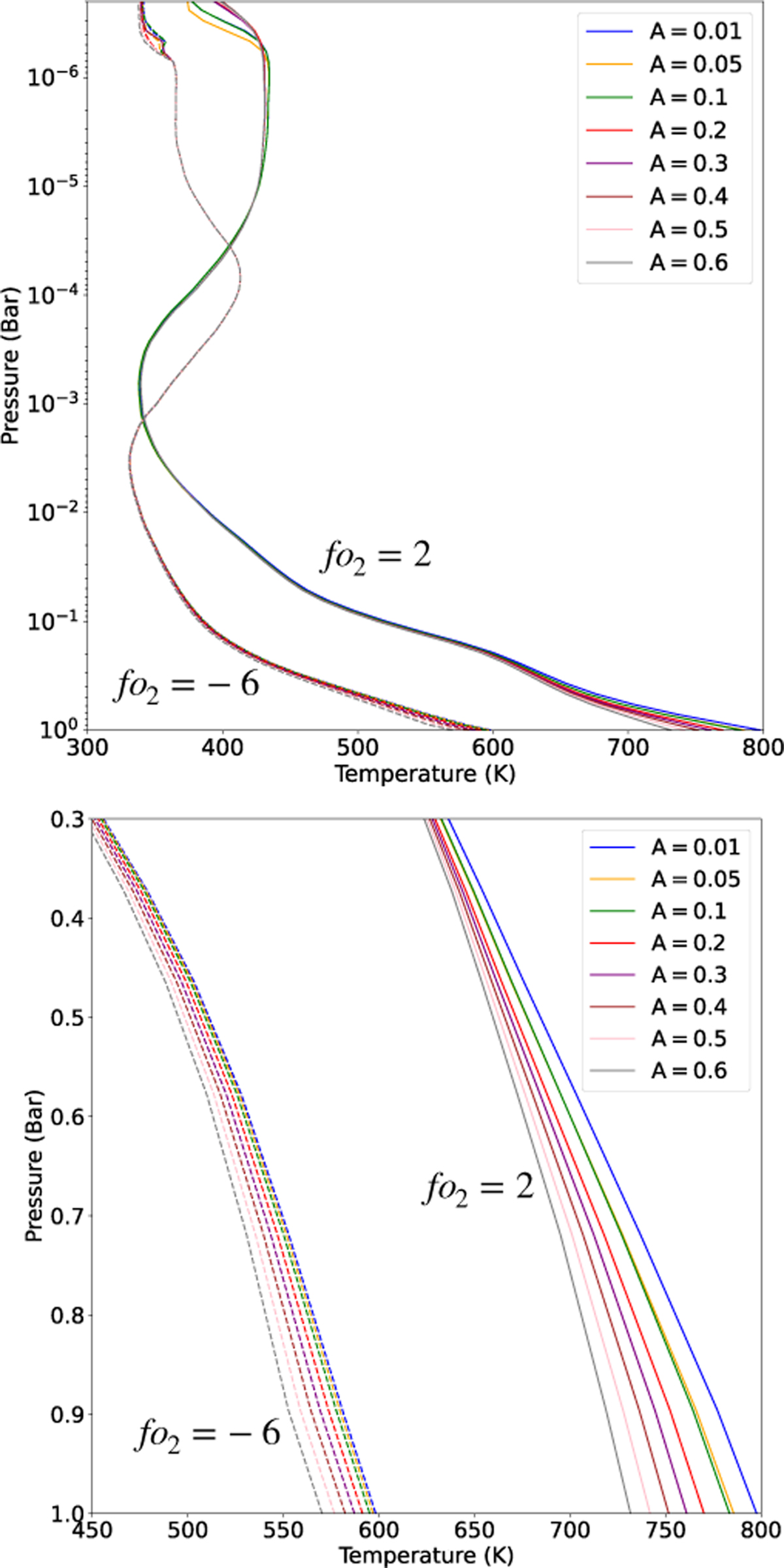
Top: vertical temperature profile for a reduced and oxidized atmosphere at surface pressure of 1 bar and ac = 10−6. We show simulations for surface albedo ranging from 0.01 to 0.6. Bottom: detail from the top plot, focusing on the layers close to the surface.

Current usage metrics show cumulative count of Article Views (full-text article views including HTML views, PDF and ePub downloads, according to the available data) and Abstracts Views on Vision4Press platform.

Data correspond to usage on the plateform after 2015. The current usage metrics is available 48-96 hours after online publication and is updated daily on week days.

Initial download of the metrics may take a while.