Open Access

Fig. 1

image

Download original image

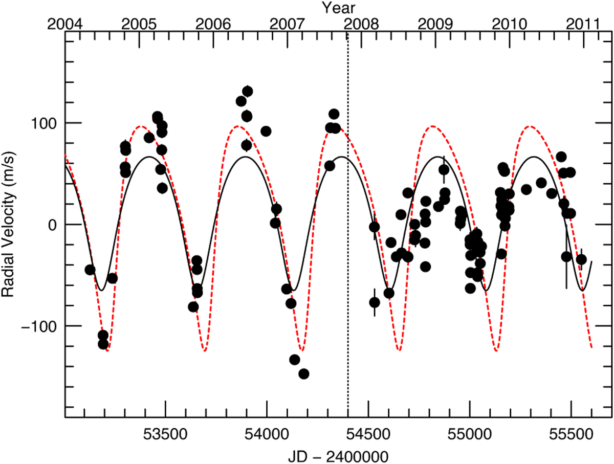
RV measurements for 42 Dra. The vertical dashed line marks the boundary between the old and new RV measurements. The dashed curve is the orbital solution from D09, and the solid curve shows a new solution based on the 2004–2011 data.

Current usage metrics show cumulative count of Article Views (full-text article views including HTML views, PDF and ePub downloads, according to the available data) and Abstracts Views on Vision4Press platform.

Data correspond to usage on the plateform after 2015. The current usage metrics is available 48-96 hours after online publication and is updated daily on week days.

Initial download of the metrics may take a while.