Open Access

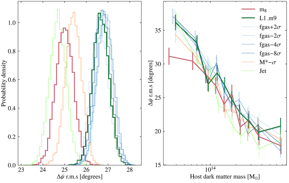
Fig. 11.

image

Download original image

Left: Probability distribution of bootstrap realisations of the rms of the projected misalignment angle between the BCG orientation angle and the dark matter halo inertia tensor. The different feedback variations are also shown. Right: Variation of the rms of the projected misalignment angle between the BCG orientation angle and the dark matter halo inertia tensor with host halo dark matter (bound) mass.

Current usage metrics show cumulative count of Article Views (full-text article views including HTML views, PDF and ePub downloads, according to the available data) and Abstracts Views on Vision4Press platform.

Data correspond to usage on the plateform after 2015. The current usage metrics is available 48-96 hours after online publication and is updated daily on week days.

Initial download of the metrics may take a while.