Open Access

Fig. A.1.

image

Download original image

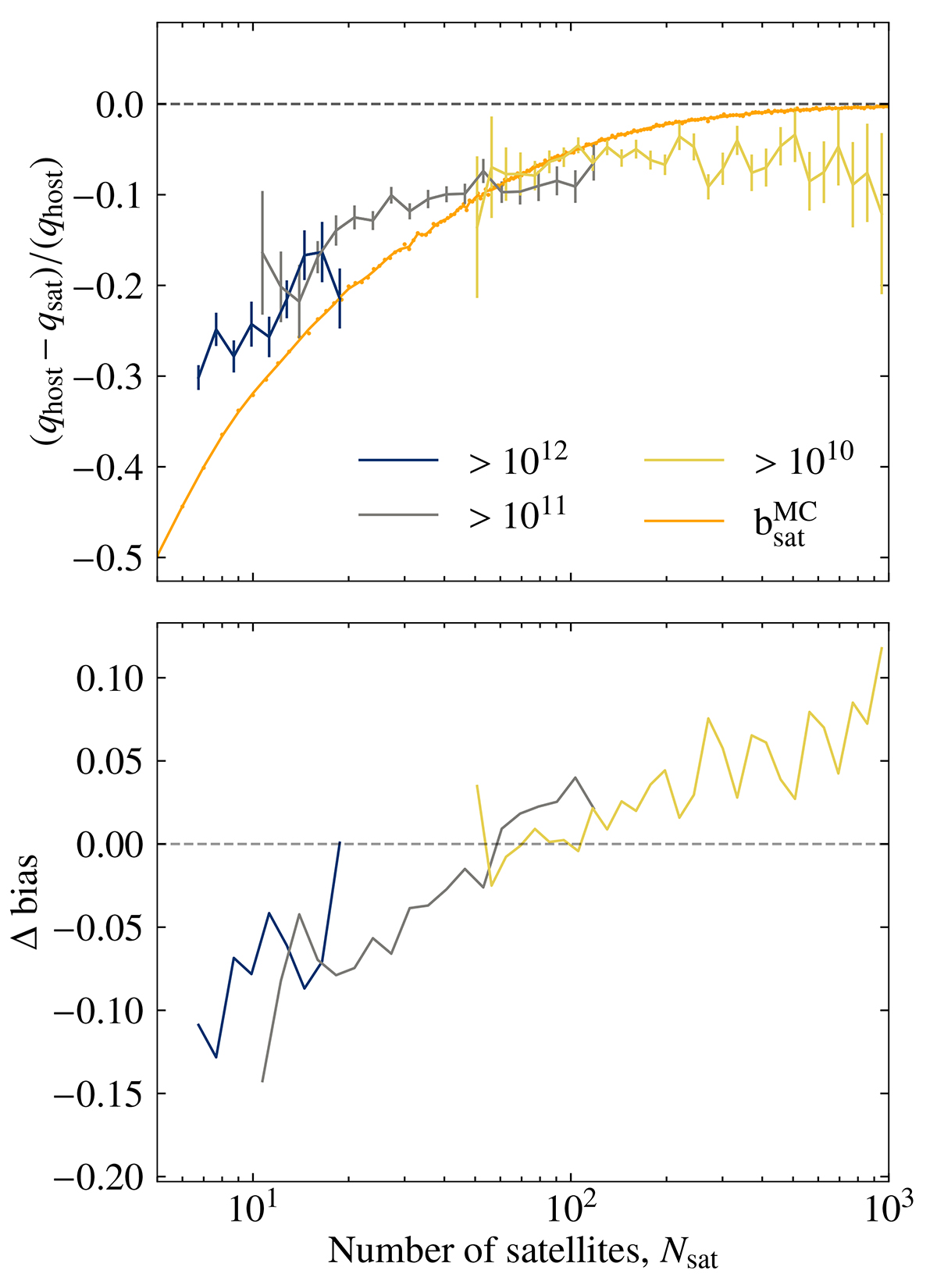
Top panel: Variation of projected axis ratio bias with number of satellites with different mass cuts applied to the satellite catalogue. The host halo mass is confined to haloes with DM mass >1014 M, for the fiducial hydrodynamic m8 case. Bottom panel: Difference between the bias estimated from the MC and the bias estimated from the satellite positions at different mass cuts (Δ bias=bMC−bsat).

Current usage metrics show cumulative count of Article Views (full-text article views including HTML views, PDF and ePub downloads, according to the available data) and Abstracts Views on Vision4Press platform.

Data correspond to usage on the plateform after 2015. The current usage metrics is available 48-96 hours after online publication and is updated daily on week days.

Initial download of the metrics may take a while.