Open Access

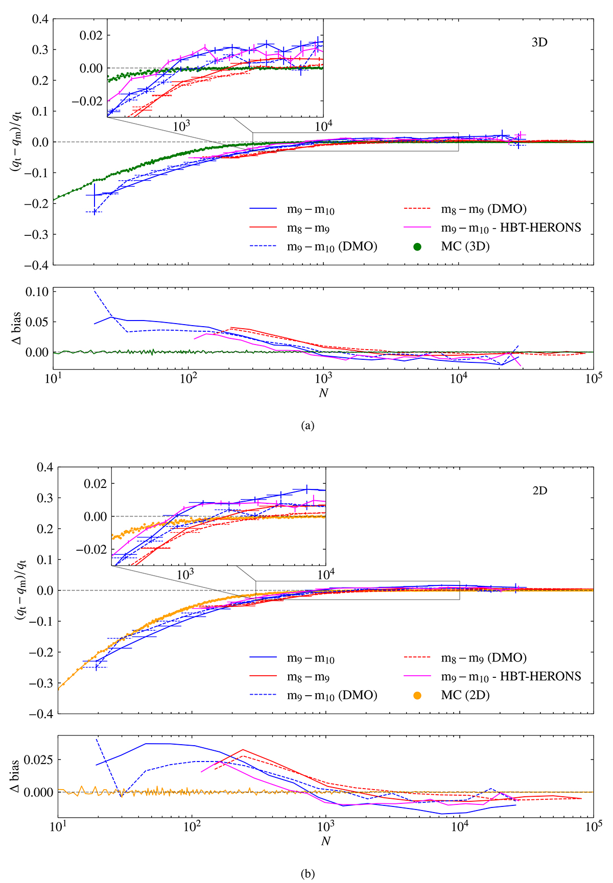
Fig. 7.

image

Download original image

Variation of median axis ratio bias with halo dark matter particle number for (a) 3D and (b) 2D (projection). Axis ratio bias is defined as (qtqm)/qt where qt is the true axis ratio and qm is the measured axis ratio. The bias estimate assuming sampling noise from the MC is shown in green in sub-figure (a) and yellow in sub-figure (b). This is compared with the bias calculated between haloes matched between different resolution FLAMINGO simulations (m8, m9 and m10) for both HYDRO (solid lines) and DMO (dashed lines) in the bottom panels of each sub-figure. Δ bias is the difference between the bias estimated with the MC and that from the simulation. The errors for each bin in N were calculated by taking the standard deviation in each bin and dividing by the square root of the number of objects in that bin. For clarity, the 1σ region for the bias from the MC is not plotted here. VR is used for all cases, except the magenta lines which use HBT-HERONS.

Current usage metrics show cumulative count of Article Views (full-text article views including HTML views, PDF and ePub downloads, according to the available data) and Abstracts Views on Vision4Press platform.

Data correspond to usage on the plateform after 2015. The current usage metrics is available 48-96 hours after online publication and is updated daily on week days.

Initial download of the metrics may take a while.