Open Access

Fig. 7

image

Download original image

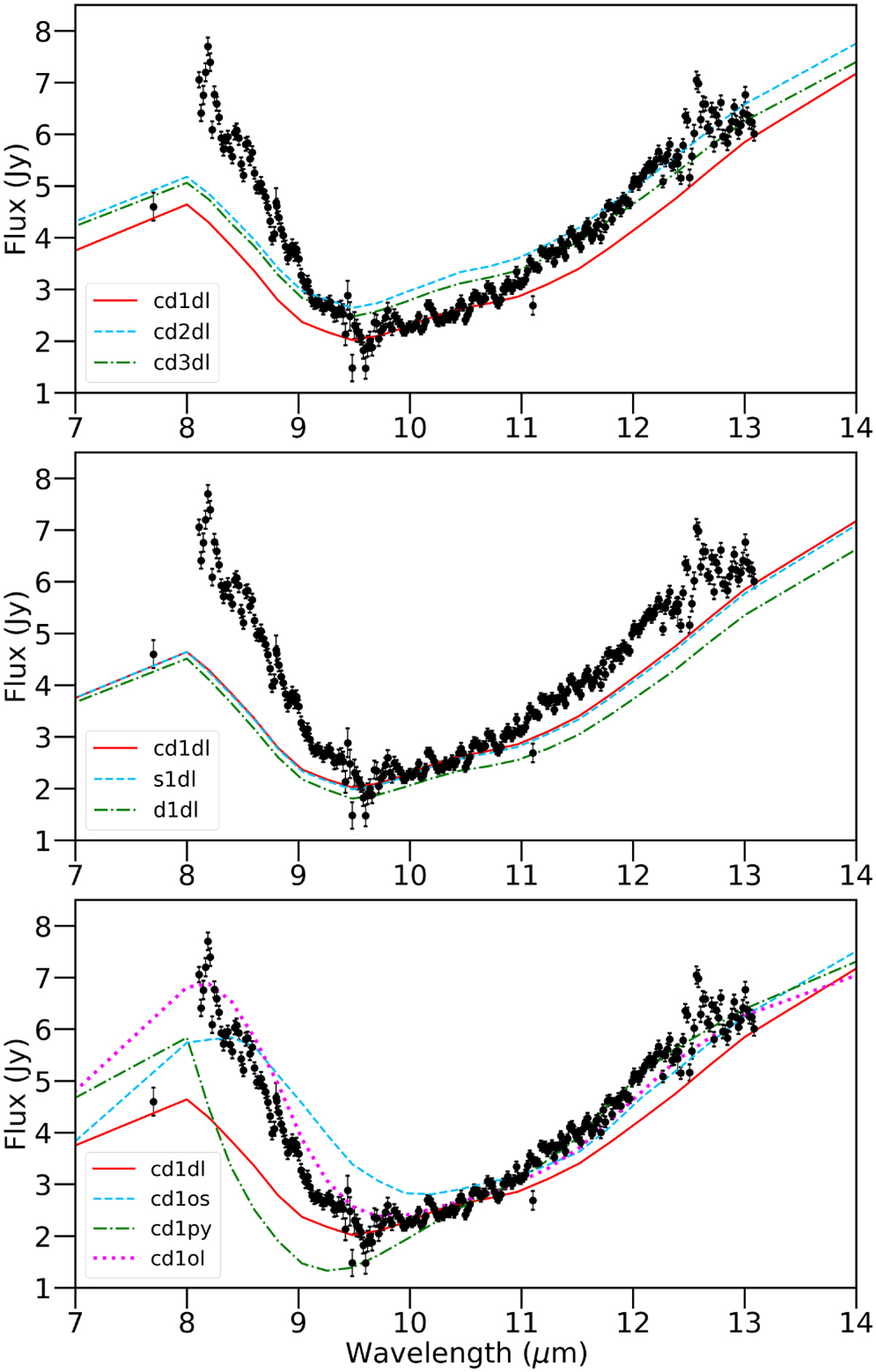
Same as Fig. 6, but showing in more detail how the models fit to the 10 μm silicate absorption feature. The equivalent plot comparing the iron and carbon models is absent, as the carbon model (cd4dl) does not show any silicate absorption.

Current usage metrics show cumulative count of Article Views (full-text article views including HTML views, PDF and ePub downloads, according to the available data) and Abstracts Views on Vision4Press platform.

Data correspond to usage on the plateform after 2015. The current usage metrics is available 48-96 hours after online publication and is updated daily on week days.

Initial download of the metrics may take a while.