Open Access

Fig. 1.

image

Download original image

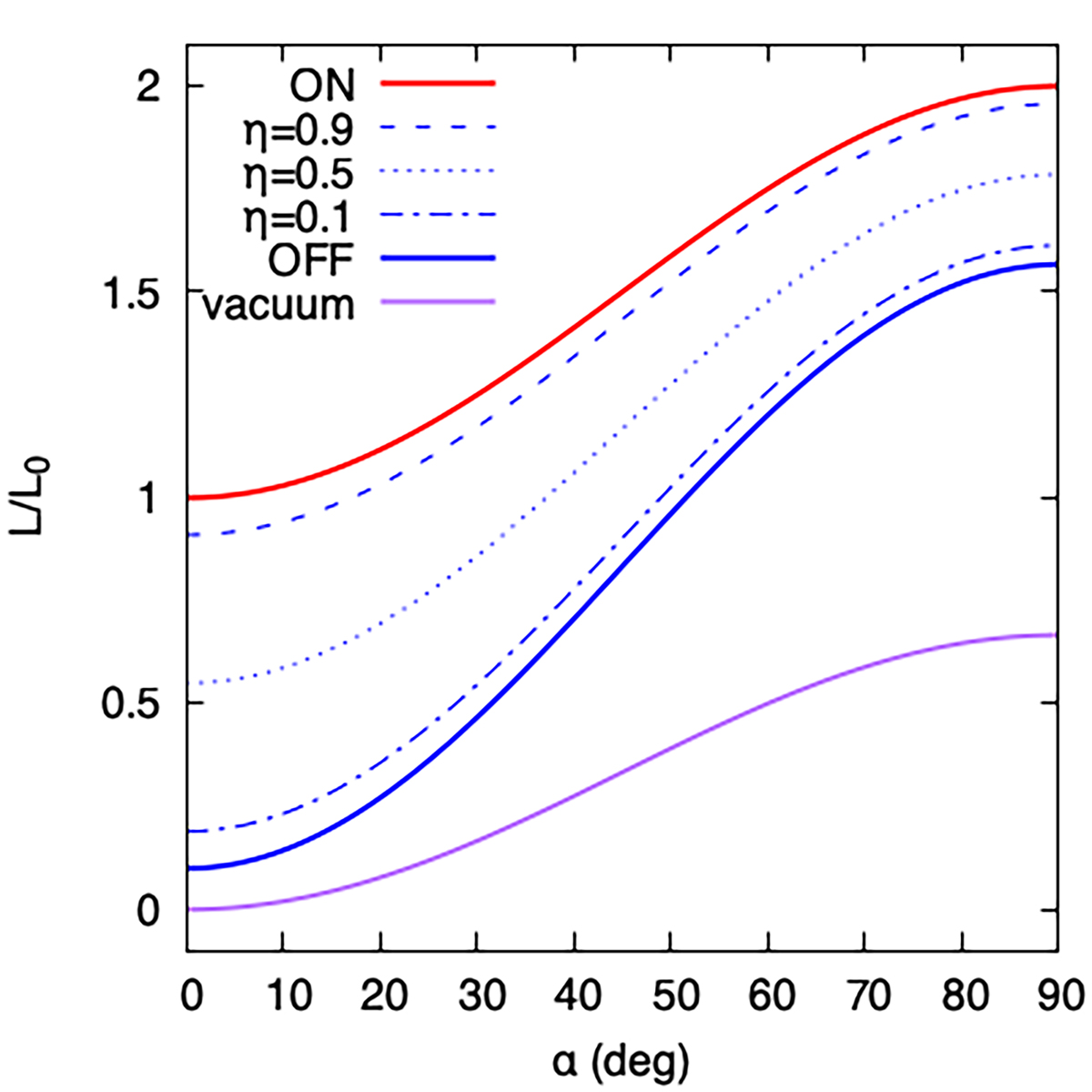
Normalised spin-down luminosity (L) as a function of the magnetic inclination angle, α, as derived by LSTa (see their Figure 3). The solid curves represent three cases: the ON state (red), the OFF state (blue), and the vacuum state (purple). The model assumes a complete absence of plasma in the open-field-line region during the OFF state. In Section 3, we consider a modification of this model when the degree of depletion is less than complete; this is described by a ‘plasma filling factor’, η. Corresponding curves for η = 0.9 (dashed), 0.5 (dotted), and 0.1 (dashed dotted) are shown. See Sections 1 and 3 for details.

Current usage metrics show cumulative count of Article Views (full-text article views including HTML views, PDF and ePub downloads, according to the available data) and Abstracts Views on Vision4Press platform.

Data correspond to usage on the plateform after 2015. The current usage metrics is available 48-96 hours after online publication and is updated daily on week days.

Initial download of the metrics may take a while.