Open Access

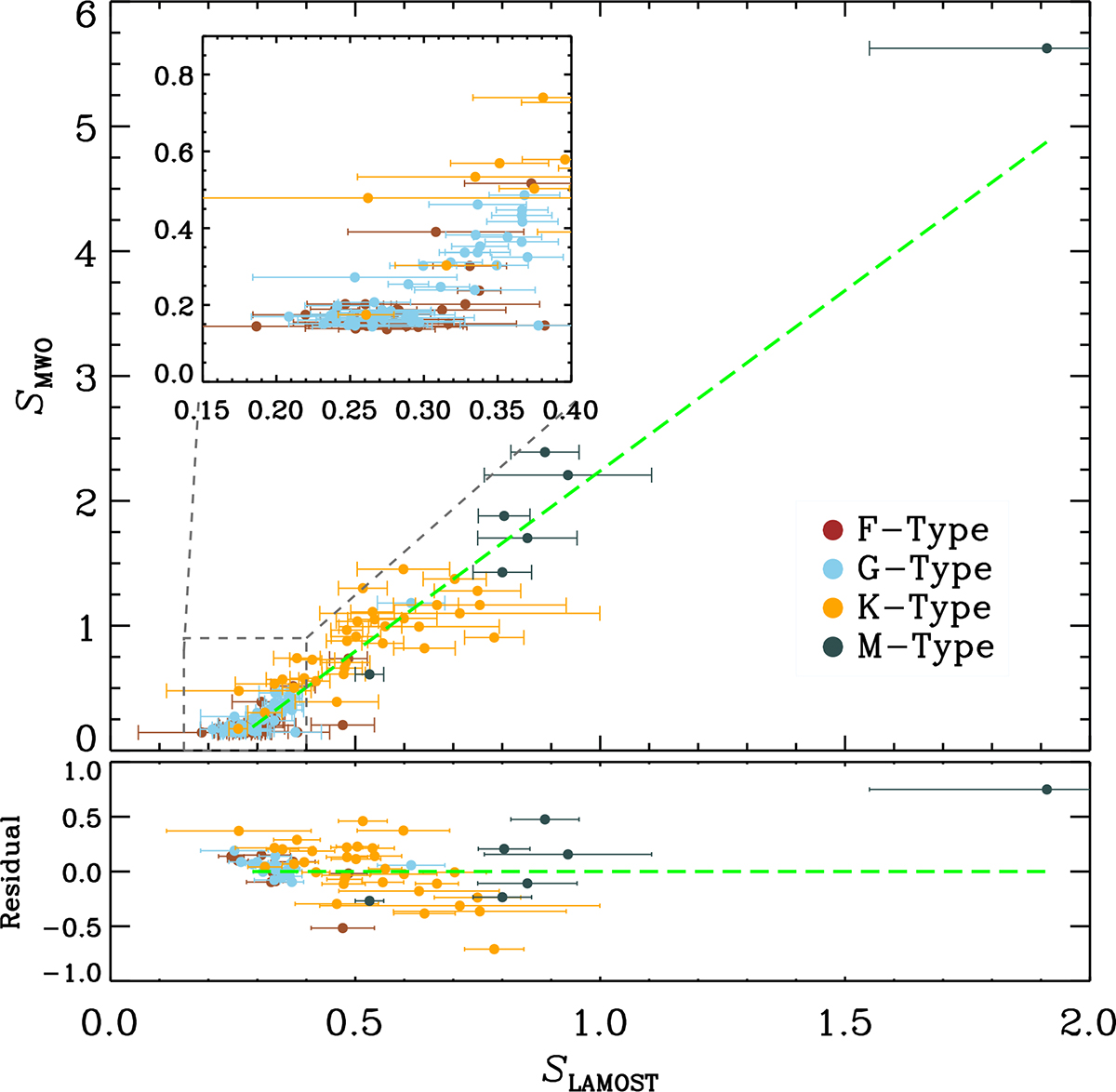
Fig. 1.

image

Download original image

SLAMOST vs. SMWO. We used the 114 common stars between Boro Saikia et al. (2018) and the LAMOST DR6 to determine the calibration factors from SLAMOST to SMWO. The green dashed line indicates the best fit given by a weighted ordinary least-square bisector Isobe et al. (1990). The inset highlights the low-activity region, demonstrating a detection limit of SMWO≈0.15 for LAMOST spectra, below which the calibration depends on extrapolation of the fit. The bottom panel shows the residual.

Current usage metrics show cumulative count of Article Views (full-text article views including HTML views, PDF and ePub downloads, according to the available data) and Abstracts Views on Vision4Press platform.

Data correspond to usage on the plateform after 2015. The current usage metrics is available 48-96 hours after online publication and is updated daily on week days.

Initial download of the metrics may take a while.