Open Access

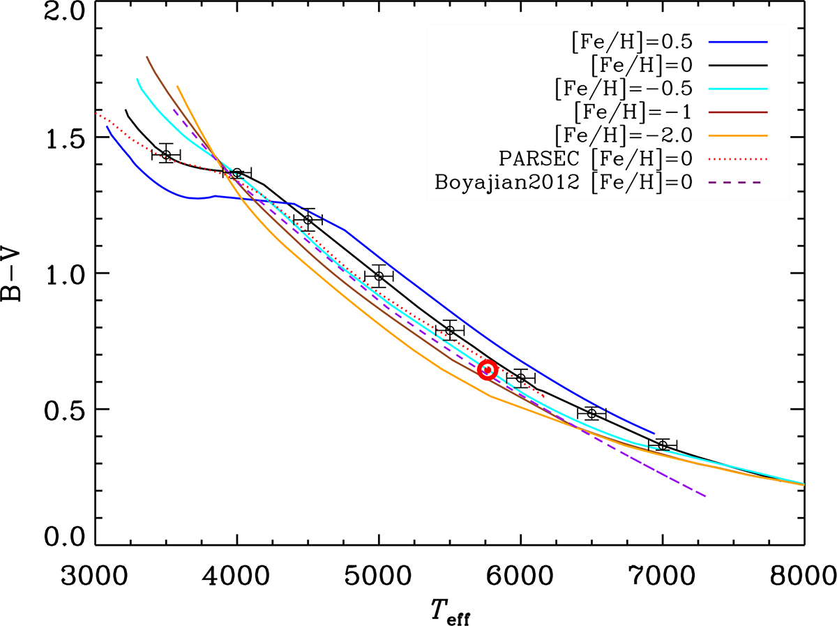
Fig. B.1.

image

Download original image

Relationships of Teff and color in different metallicities from the Dartmouth model. The Sun is marked as a red circle. The error bars of black circles indicates the uncertainty of the conversion for [Fe/H] = 0, whose typical value is ∼0.03 dex. For comparison, the dotted line is from PARSEC model atmosphere (Chen et al. 2014) with [Fe/H] = 0, the dashed line is an empirical relation from Boyajian et al. (2012) with [Fe/H] = 0.

Current usage metrics show cumulative count of Article Views (full-text article views including HTML views, PDF and ePub downloads, according to the available data) and Abstracts Views on Vision4Press platform.

Data correspond to usage on the plateform after 2015. The current usage metrics is available 48-96 hours after online publication and is updated daily on week days.

Initial download of the metrics may take a while.