Open Access

Fig. 2.

image

Download original image

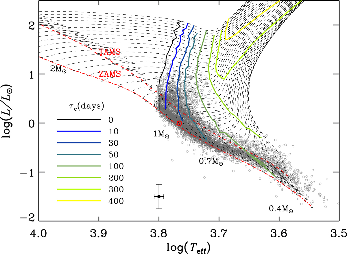
Parameter space of Teff and log(L/L), which we used for the determination of τc by matching them with the Yale-Potsdam Stellar Isochrones. The gray circles are the stars of our sample. The τc isocontours are shown as solid colored lines. The red dashed lines mark the ZAMS and TAMS. The stellar mass from 0.4 M to 2 M are marked at the beginning of each isochrone. The typical uncertainty for the solar mass is plotted at the bottom. Note the isochrones are plotted at metallicilty [Fe/H] = 0.

Current usage metrics show cumulative count of Article Views (full-text article views including HTML views, PDF and ePub downloads, according to the available data) and Abstracts Views on Vision4Press platform.

Data correspond to usage on the plateform after 2015. The current usage metrics is available 48-96 hours after online publication and is updated daily on week days.

Initial download of the metrics may take a while.