Open Access

Fig. 5

image

Download original image

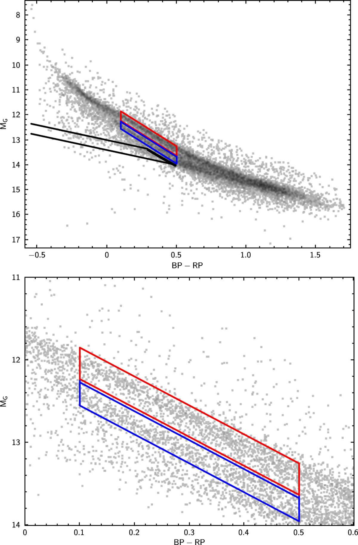
Top panel: adopted definition for the A (red), B (blue) and Q (black) branches in this analysis. Bottom panel: same, but zoomed in the A and B branches. For clarity, the regions have been represented over the 100 pc white dwarf sample of García-Zamora et al. (2023).

Current usage metrics show cumulative count of Article Views (full-text article views including HTML views, PDF and ePub downloads, according to the available data) and Abstracts Views on Vision4Press platform.

Data correspond to usage on the plateform after 2015. The current usage metrics is available 48-96 hours after online publication and is updated daily on week days.

Initial download of the metrics may take a while.