Open Access

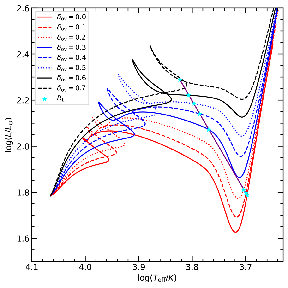
Fig. 1.

image

Download original image

Evolution of a star with 2.8 M in the Hertzsprung–Russell diagram with different δov. The δov is set to 0.00, 0.10, 0.20, 0.30, 0.40, 0.50, 0.60, and 0.70. A star symbol indicates the point at which the star radius equals the Roche radius, RL, where a WD mass of MWD = 1.0 M and orbital periods of log(Pi/days) = 0.8 are assumed. The purple line connecting the star symbols represents the equal-radius line in the Hertzsprung–Russell diagram.

Current usage metrics show cumulative count of Article Views (full-text article views including HTML views, PDF and ePub downloads, according to the available data) and Abstracts Views on Vision4Press platform.

Data correspond to usage on the plateform after 2015. The current usage metrics is available 48-96 hours after online publication and is updated daily on week days.

Initial download of the metrics may take a while.