Open Access

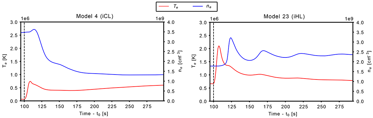
Fig. 5.

image

Download original image

Evolution with time of the electron temperature and density at the loop center (s = Lc + L/2) for two models with an initial cool loop (m4) and an initial hot loops (m23) of similar length (L = 3 Mm). The dotted vertical line indicates the starting time of the impulsive heating.

Current usage metrics show cumulative count of Article Views (full-text article views including HTML views, PDF and ePub downloads, according to the available data) and Abstracts Views on Vision4Press platform.

Data correspond to usage on the plateform after 2015. The current usage metrics is available 48-96 hours after online publication and is updated daily on week days.

Initial download of the metrics may take a while.