Open Access

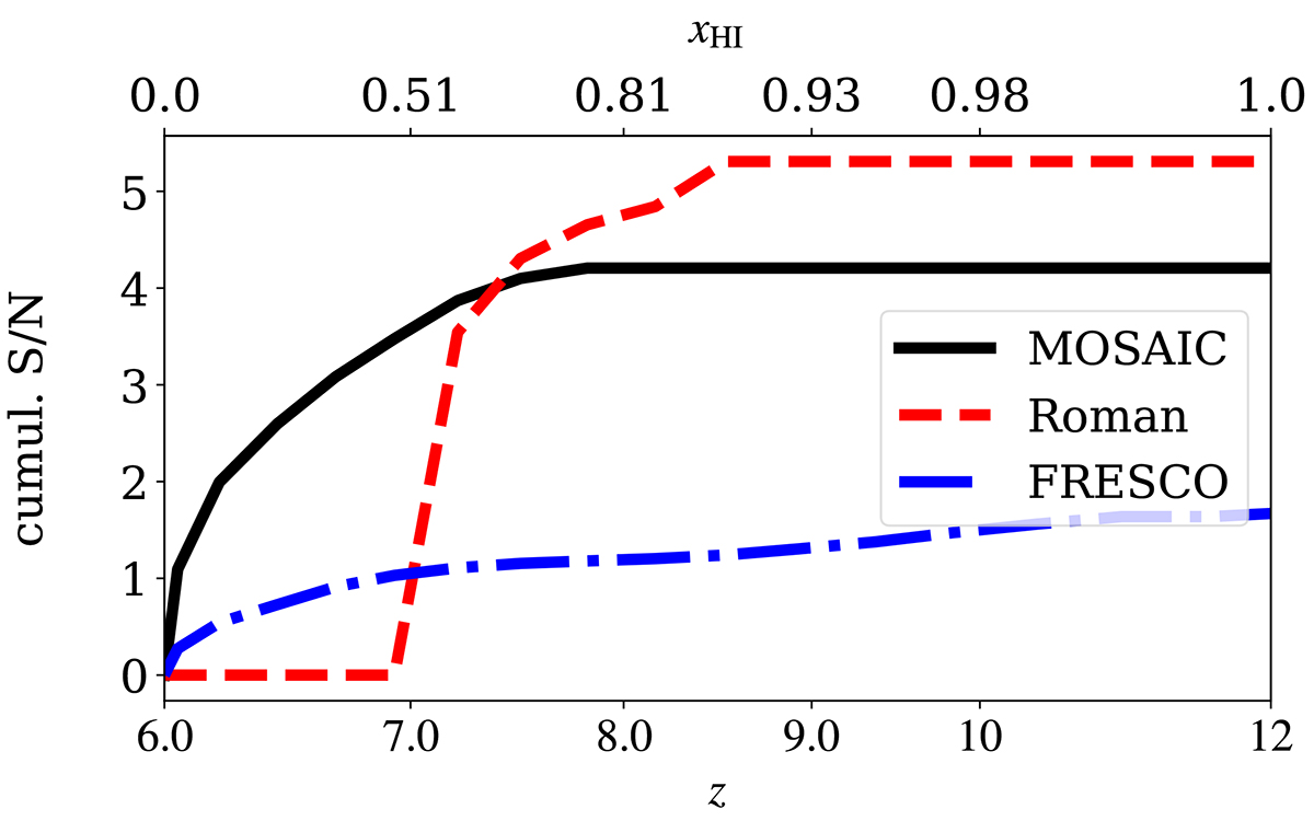
Fig. 14.

image

Download original image

Cumulative S/N of the galaxy–21-cm cross-power spectrum as a function of redshift for fiducial observations using MOSAIC, JWST, and Roman. The MOSAIC observation corresponds to our recommended ELT survey, the Roman observation corresponds to and integration over two patches of the SKA-low field of view within the Roman observing area, and the JWST observation corresponds to the FRESCO survey. The Roman and MOSAIC surveys are Ly-α selected, so that redshifts higher than ∼8 contribute negligibly to their total S/N due to attenuation from the neutral IGM. On the other hand, FRESCO selects on Hα and [OIII], allowing higher-redshift galaxies to contribute to the total S/N. The global neutral IGM fraction is indicated on the upper horizontal axis.

Current usage metrics show cumulative count of Article Views (full-text article views including HTML views, PDF and ePub downloads, according to the available data) and Abstracts Views on Vision4Press platform.

Data correspond to usage on the plateform after 2015. The current usage metrics is available 48-96 hours after online publication and is updated daily on week days.

Initial download of the metrics may take a while.