Open Access

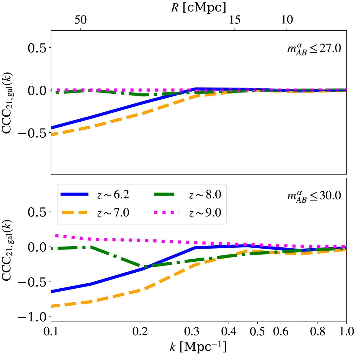
Fig. 8.

image

Download original image

Galaxy–21-cm correlation coefficients at z∈(6.2,7.0,8.0,9.0), assuming at two Ly-α magnitude cuts: m AB α 27 $ m_{\mathrm {AB}}^\alpha \leq 27 $ (top panel) and m AB α 30 $ m_{\mathrm {AB}}^\alpha \leq 30 $ (bottom panel). Our fiducial model at z = 6.2, 7.0, 8.0, and 9.0 results in a mean IGM neutral fractions of x ¯ HI = 0.15 $ \bar {x}_{\mathrm {HI}} = 0.15 $, 0.41, 0.61, and 0.79, and mean HI spin temperature-to-CMB temperature ratios of T ¯ S / T γ = 10.4 $ \bar {T}_{\mathrm {S}}/T_{\gamma } = 10.4 $, 4.72, 2.10, and 0.79, respectively. On the top horizontal axis we show the comoving scale corresponding to a given wavemode: R = 2π/k.

Current usage metrics show cumulative count of Article Views (full-text article views including HTML views, PDF and ePub downloads, according to the available data) and Abstracts Views on Vision4Press platform.

Data correspond to usage on the plateform after 2015. The current usage metrics is available 48-96 hours after online publication and is updated daily on week days.

Initial download of the metrics may take a while.