Open Access

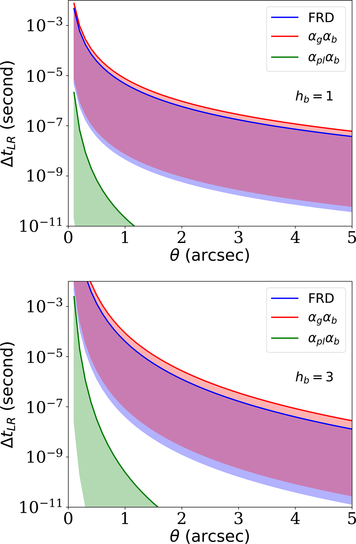
Fig. 1.

image

Download original image

Arrival-time difference between left- and right-mode polarisations. The shadow covers the frequency 0.5−5 GHz, and the blue shadow presents that due to different velocities of the two modes. The red (green) shadow presents that due to different paths of the propagation caused by gravitational deflection (plasma deflection). The top (bottom) panel is for the magnetic profile with an index of hb = 1 (hb = 3).

Current usage metrics show cumulative count of Article Views (full-text article views including HTML views, PDF and ePub downloads, according to the available data) and Abstracts Views on Vision4Press platform.

Data correspond to usage on the plateform after 2015. The current usage metrics is available 48-96 hours after online publication and is updated daily on week days.

Initial download of the metrics may take a while.