Open Access

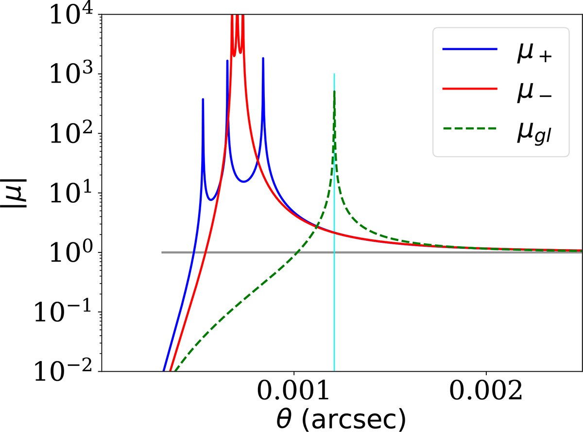
Fig. 6.

image

Download original image

Magnification curves of point lens with magnetic plasma. The dashed green curve presents the magnification in vacuum. The red (blue) one shows that of the ordinary (extraordinary) mode. The vertical cyan line marks the position of the Einstein radius in vacuum.

Current usage metrics show cumulative count of Article Views (full-text article views including HTML views, PDF and ePub downloads, according to the available data) and Abstracts Views on Vision4Press platform.

Data correspond to usage on the plateform after 2015. The current usage metrics is available 48-96 hours after online publication and is updated daily on week days.

Initial download of the metrics may take a while.