Open Access

Fig. 2.

image

Download original image

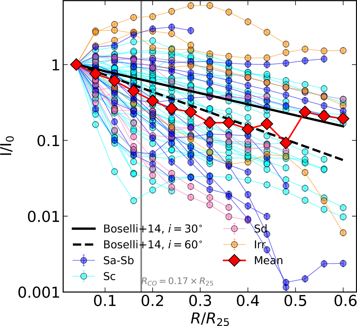
CO emission radial profile, as a function of the optical radius (R25). The CO scale radius (R25) is reported as a vertical gray line. Objects are color coded on the basis of morphological classification. The median radial profile at each radius is represented with red squares. The radial profile predicted by the exponentially decreasing disk by Boselli et al. (2014) is shown as solid and dashed lines, when inclination angles of 30° and 60° are assumed, respectively.

Current usage metrics show cumulative count of Article Views (full-text article views including HTML views, PDF and ePub downloads, according to the available data) and Abstracts Views on Vision4Press platform.

Data correspond to usage on the plateform after 2015. The current usage metrics is available 48-96 hours after online publication and is updated daily on week days.

Initial download of the metrics may take a while.