Open Access

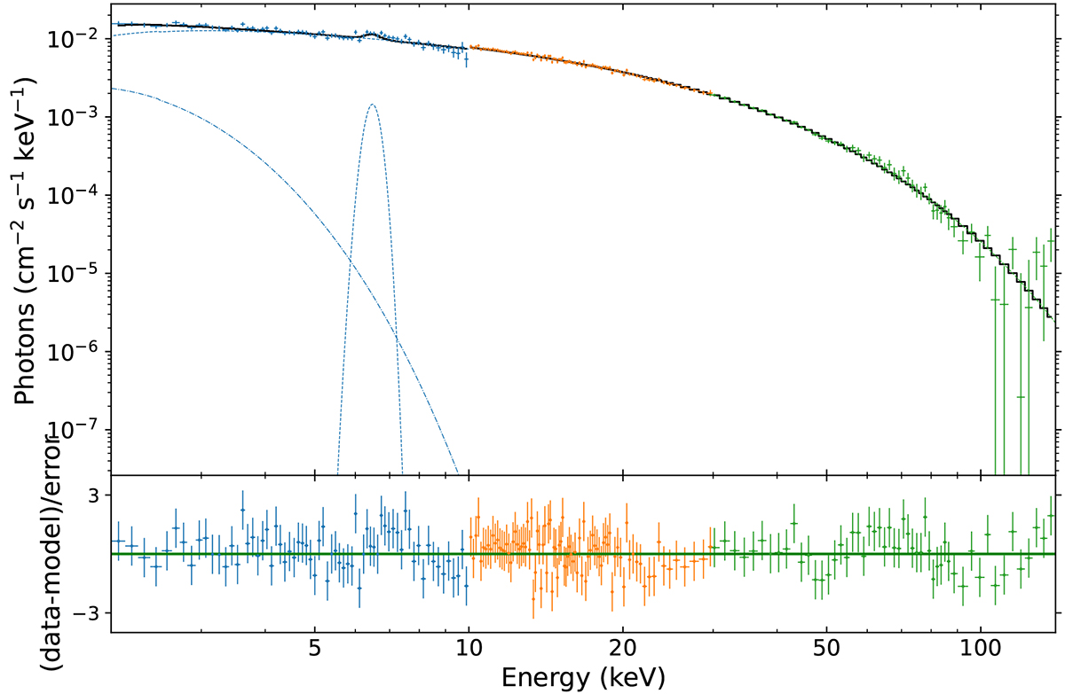
Fig. 5.

image

Download original image

X-ray fitting spectrum of 2S 1417–624 over the energy range of 2−140 keV for the observation P011470900401, along with the residuals of the best-fitting model.

Current usage metrics show cumulative count of Article Views (full-text article views including HTML views, PDF and ePub downloads, according to the available data) and Abstracts Views on Vision4Press platform.

Data correspond to usage on the plateform after 2015. The current usage metrics is available 48-96 hours after online publication and is updated daily on week days.

Initial download of the metrics may take a while.