Open Access

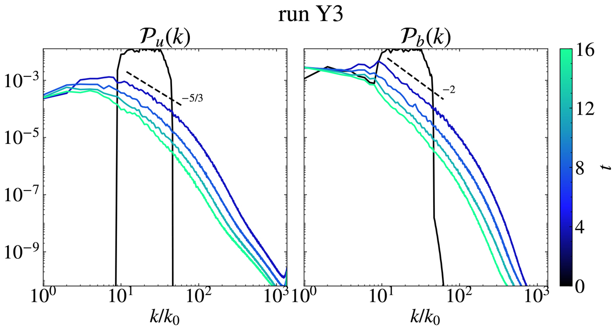
Fig. 10.

image

Download original image

Omnidirectional spectra of velocity and magnetic field (Eq. (19)) as a function of the normalised wave number for run Y3. Different times are shown as indicated in the colour bar. The spectrum corresponding to the flux rope is visible at k/k0≲6 in the magnetic spectrum.

Current usage metrics show cumulative count of Article Views (full-text article views including HTML views, PDF and ePub downloads, according to the available data) and Abstracts Views on Vision4Press platform.

Data correspond to usage on the plateform after 2015. The current usage metrics is available 48-96 hours after online publication and is updated daily on week days.

Initial download of the metrics may take a while.