Open Access

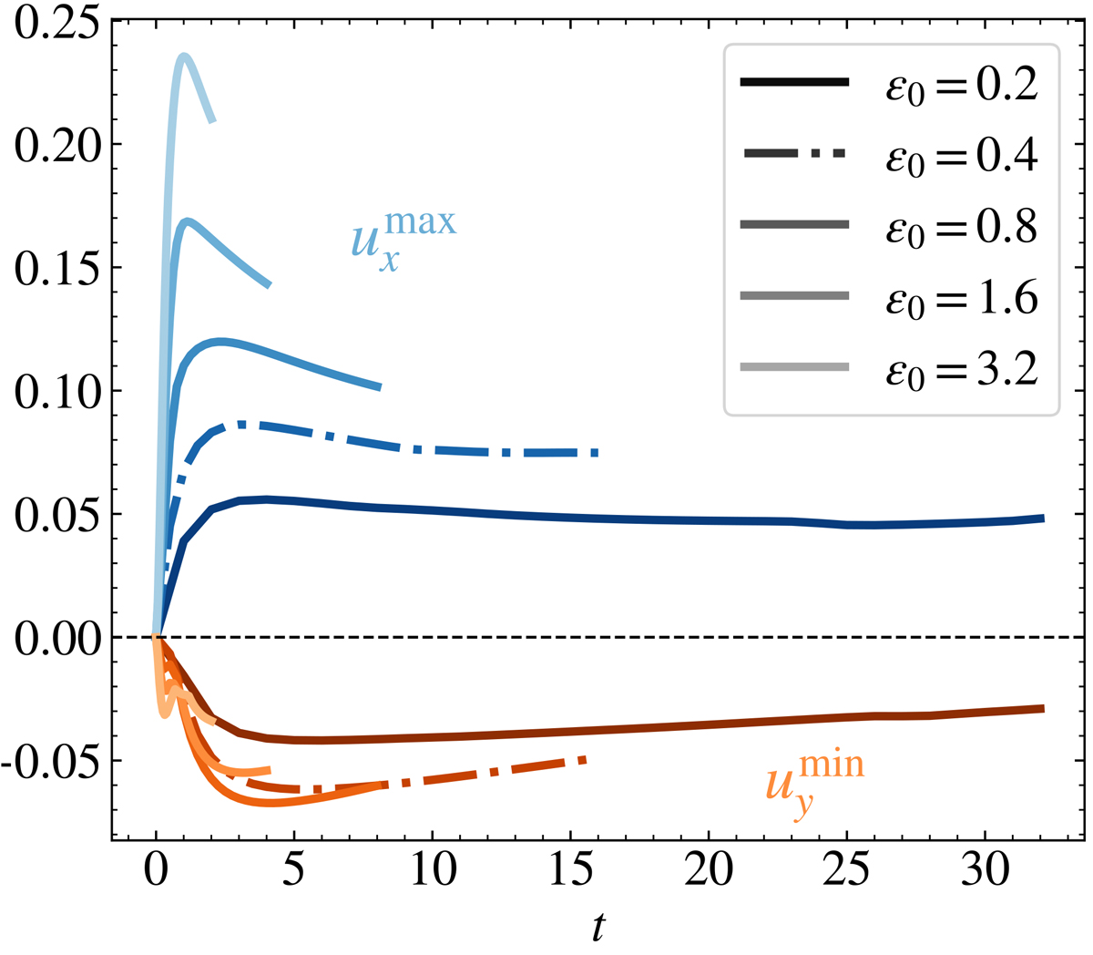
Fig. 7.

image

Download original image

Time evolution of the maximum of ux and minimum of uy (both computed across a 1D cut passing through the axis, as in Fig. 4) for runs A2-A6. The trends of u x max $ u_x^\mathrm {max} $ and u y min $ u_y^\mathrm {min} $ are drawn with blue and orange lines respectively, with lighter shades corresponding to higher values of ɛ0 as in Fig. 6.

Current usage metrics show cumulative count of Article Views (full-text article views including HTML views, PDF and ePub downloads, according to the available data) and Abstracts Views on Vision4Press platform.

Data correspond to usage on the plateform after 2015. The current usage metrics is available 48-96 hours after online publication and is updated daily on week days.

Initial download of the metrics may take a while.