Open Access

Fig. 2.

image

Download original image

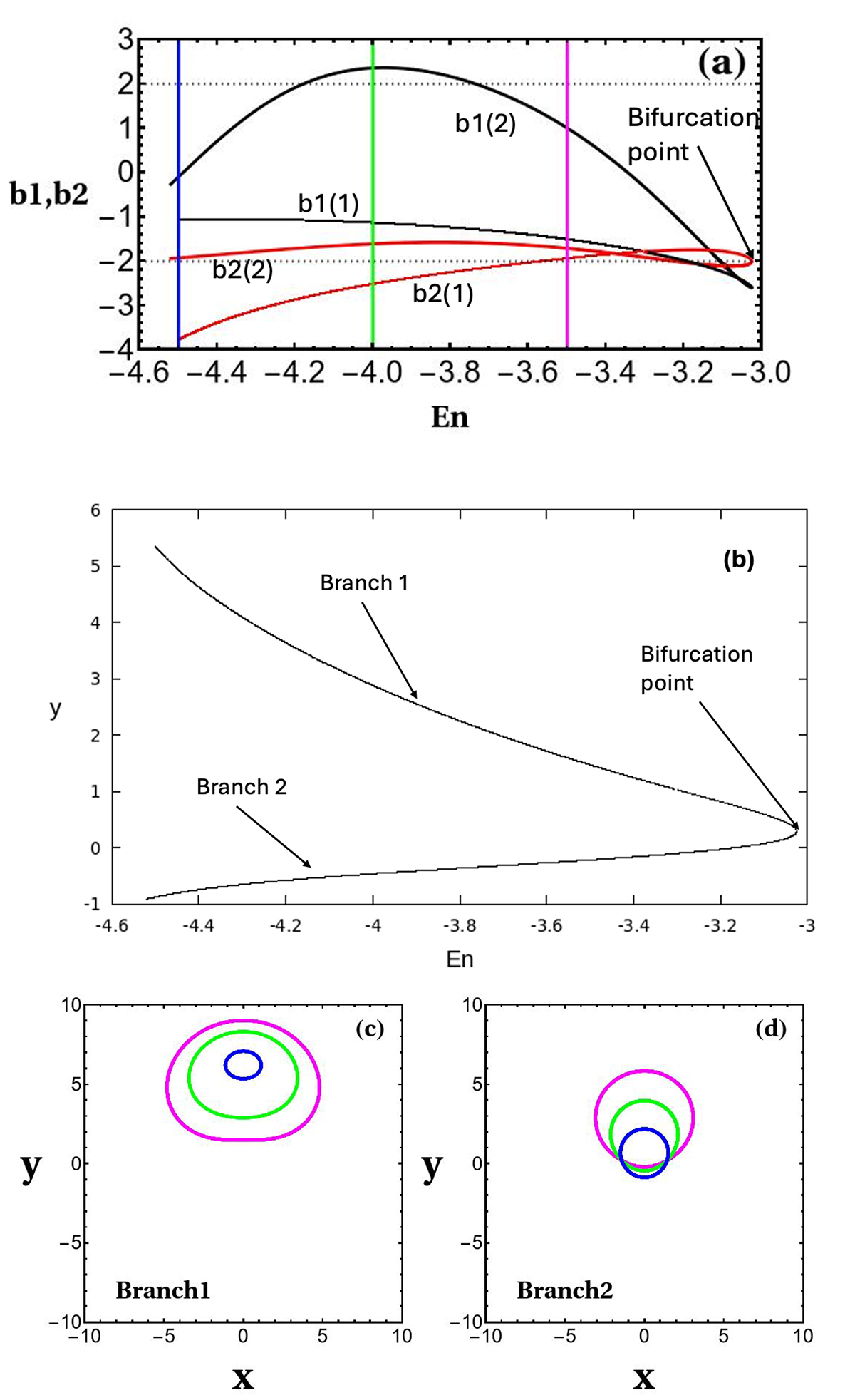
(a) Stability indices, b1, b2, of the planar PL1, 2 orbit (branch 1 and branch 2) as a function of the Jacobi constant (or energy), En, for bar mass Mb = 5. The vertical stability index, b1, (black) corresponds to the stability of planar periodic orbits with respect to perturbations perpendicular to the orbital plane, while the planar stability index, b2, (red) corresponds to the stability with respect to perturbations on the orbital plane. The three vertical lines correspond to the energy levels at which we investigated the phase space. (b) Characteristics of the two planar branches of the PL1 family that are joined and disappear at the bifurcation point. (c) Branch 1 and (d) branch 2 planar PL1 orbits plotted with the same colour as the corresponding energies (vertical lines) in Fig. 2a.

Current usage metrics show cumulative count of Article Views (full-text article views including HTML views, PDF and ePub downloads, according to the available data) and Abstracts Views on Vision4Press platform.

Data correspond to usage on the plateform after 2015. The current usage metrics is available 48-96 hours after online publication and is updated daily on week days.

Initial download of the metrics may take a while.