Open Access

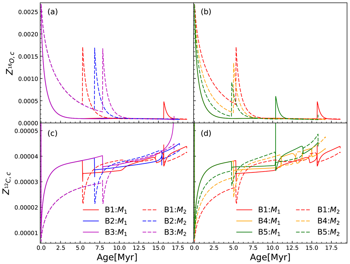
Fig. 3.

image

Download original image

Evolution of central chemical elements in binary systems with different initial orbital periods and component mass ratios. Panel (a): Central oxygen evolution for systems with orbital periods of 1.2–1.6 days. Panel (b): Central oxygen evolution for systems with companion masses of 8.0 M to 12 M. Panel (c): Same as panel (a) but for carbon evolution. Panel (d): Same as panel (b) but for carbon evolution.

Current usage metrics show cumulative count of Article Views (full-text article views including HTML views, PDF and ePub downloads, according to the available data) and Abstracts Views on Vision4Press platform.

Data correspond to usage on the plateform after 2015. The current usage metrics is available 48-96 hours after online publication and is updated daily on week days.

Initial download of the metrics may take a while.