Open Access

Fig. 4.

image

Download original image

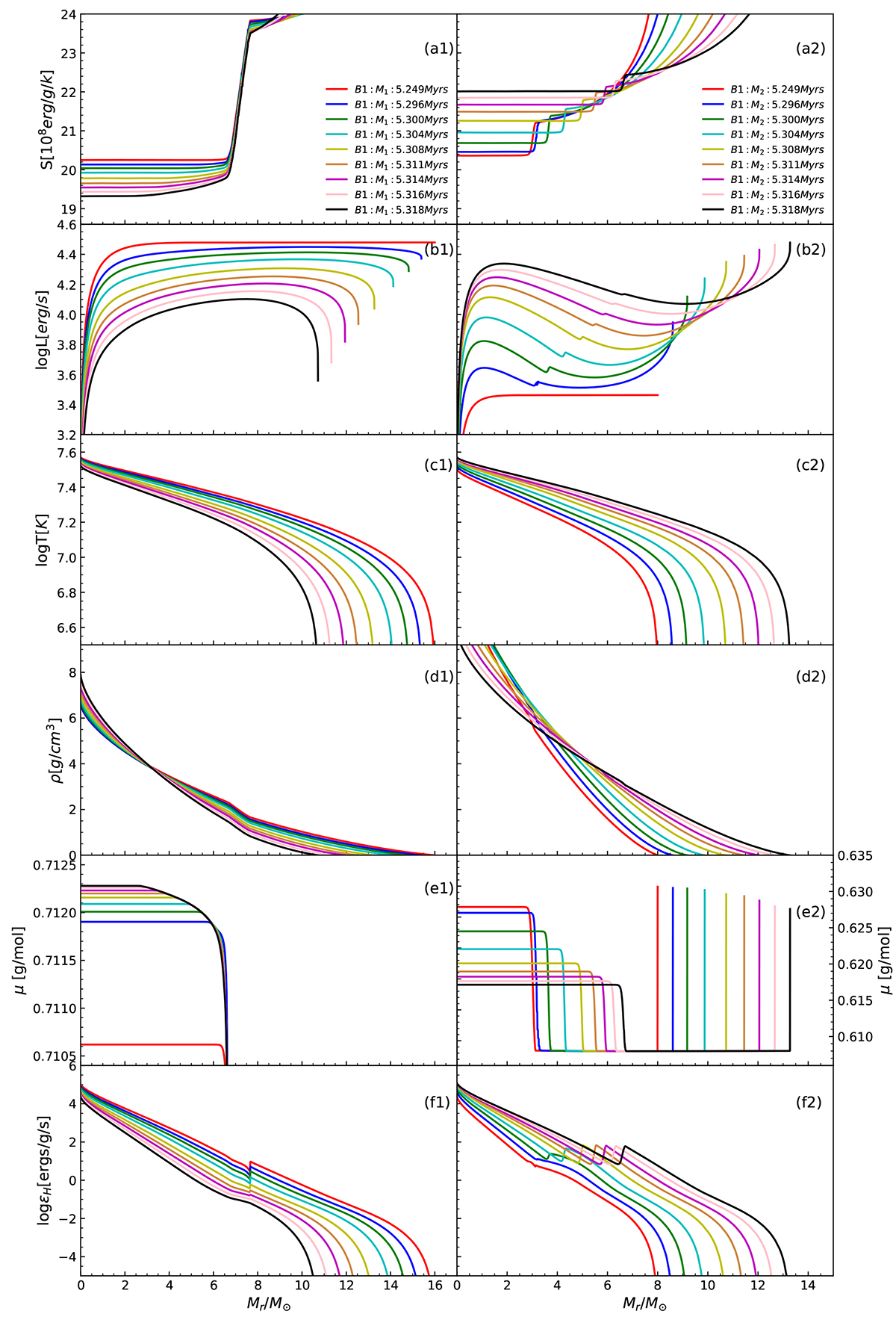
Evolution of detailed binary parameters during the rapid Case A mass transfer episode. Panel (a1): Entropy profile versus mass coordinate for the mass-losing star. Panel (a2): Corresponding profile for the mass-gaining star. panels (b1) and (b2): Luminosity profiles for both components. Panels (c1) and (c2): Temperature profiles. Panels (d1) and (d2): Density profiles. Panels (e1) and (e2): Mean molecular weight profiles. Panels (f1) and (f2): Hydrogen energy production rate, ϵH, profiles for both components.

Current usage metrics show cumulative count of Article Views (full-text article views including HTML views, PDF and ePub downloads, according to the available data) and Abstracts Views on Vision4Press platform.

Data correspond to usage on the plateform after 2015. The current usage metrics is available 48-96 hours after online publication and is updated daily on week days.

Initial download of the metrics may take a while.