Open Access

Fig. 5.

image

Download original image

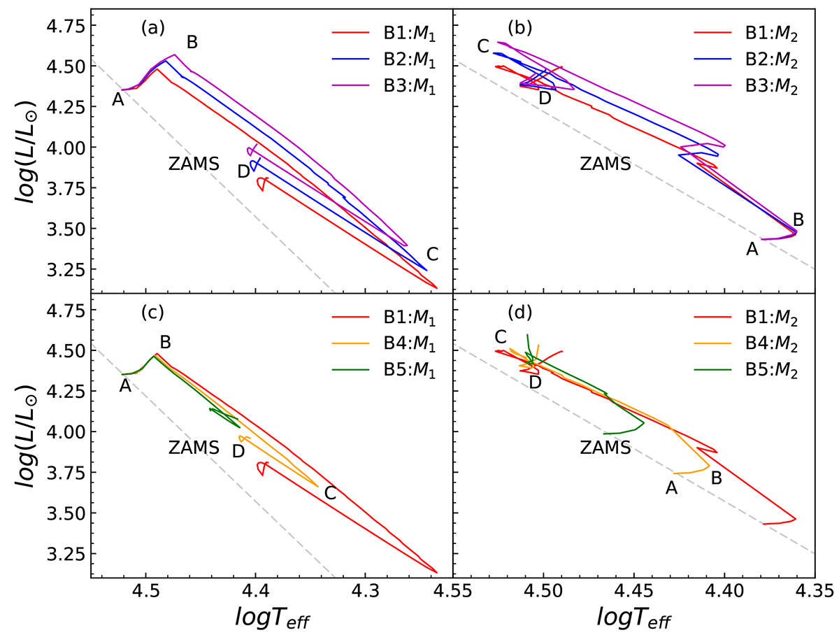
Evolutionary tracks of both components in the Hertzsprung-Russell diagram for the 16 Mprimary binary system. Point A marks the ZAMS. Point B indicates the onset of mass transfer. Point C denotes the peak mass transfer rate. Point D represents the termination of mass transfer.

Current usage metrics show cumulative count of Article Views (full-text article views including HTML views, PDF and ePub downloads, according to the available data) and Abstracts Views on Vision4Press platform.

Data correspond to usage on the plateform after 2015. The current usage metrics is available 48-96 hours after online publication and is updated daily on week days.

Initial download of the metrics may take a while.