Open Access

Fig. 2

image

Download original image

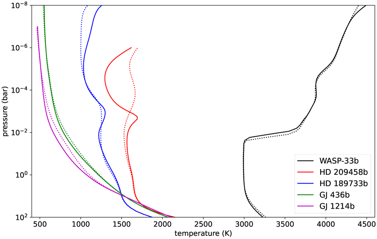
Dayside pressure-temperature profiles calculated for the gas giant exoplanets WASP-33b, HD 209458b, HD 189733b, GJ 436b, and GJ 1214b. The solid lines correspond to the temperature profiles calculated self-consistently with the disequilibrium composition at a time at which a steady state is reached in the atmosphere composition and temperature, while the dotted lines correspond to temperature profiles calculated at the initial time, where the composition is assumed to be given by chemical equilibrium.

Current usage metrics show cumulative count of Article Views (full-text article views including HTML views, PDF and ePub downloads, according to the available data) and Abstracts Views on Vision4Press platform.

Data correspond to usage on the plateform after 2015. The current usage metrics is available 48-96 hours after online publication and is updated daily on week days.

Initial download of the metrics may take a while.