Open Access

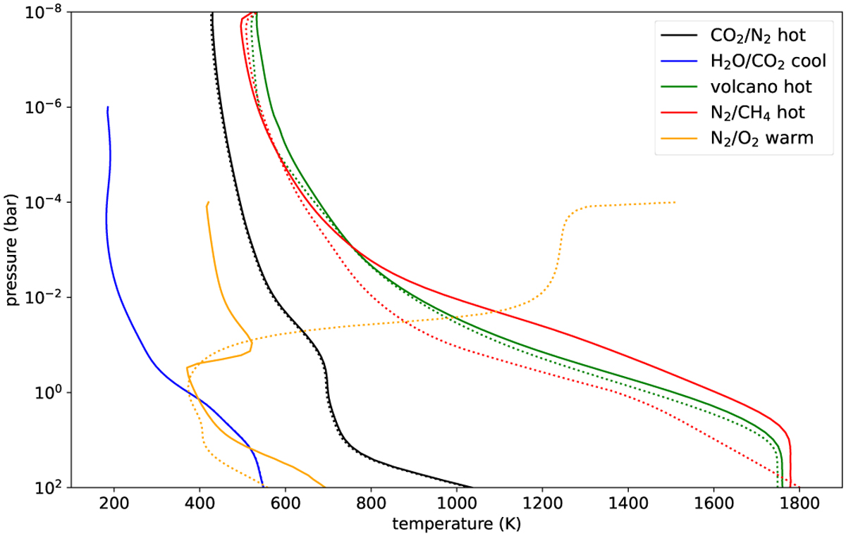
Fig. 4

image

Download original image

Dayside pressure-temperature profiles calculated for five exoplanets with plausible secondary atmospheres (see Table 1): a hot atmosphere made of CO2 and N2, a cool atmosphere of H2O and CO2, a hot atmosphere composed of volcanic outgassing, a hot reducing atmosphere of N2 and CH4, and a warm oxidizing atmosphere of N2 and O2. The solid lines correspond to the temperature profiles calculated self-consistently with the disequilibrium composition at a time at which a steady state is reached in the atmosphere composition and temperature, while the dotted lines correspond to temperature profiles calculated at the initial time, where chemistry has not yet modified the initial composition.

Current usage metrics show cumulative count of Article Views (full-text article views including HTML views, PDF and ePub downloads, according to the available data) and Abstracts Views on Vision4Press platform.

Data correspond to usage on the plateform after 2015. The current usage metrics is available 48-96 hours after online publication and is updated daily on week days.

Initial download of the metrics may take a while.