Open Access

Fig. 22

image

Download original image

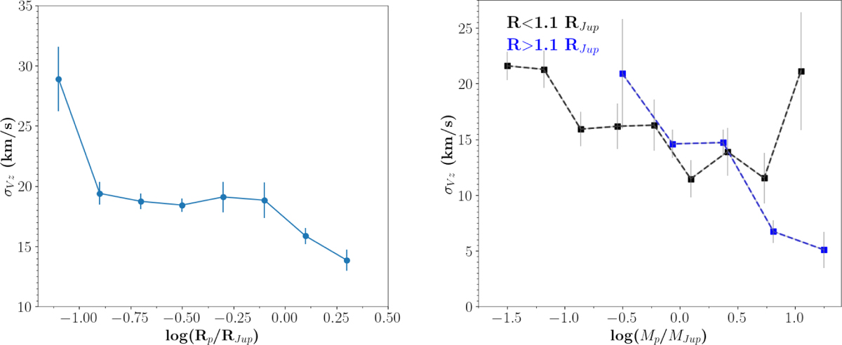
Vertical Galactic velocity dispersion as a function of planet radius (left panel) and planet mass (right panel). As in Fig. 21, two regimes of planet radius are shown in the right panel. Error bars show the uncertainty in the standard deviation estimated from σ2/2(n1)$\sqrt{\sigma^2/2(n-1)}$.

Current usage metrics show cumulative count of Article Views (full-text article views including HTML views, PDF and ePub downloads, according to the available data) and Abstracts Views on Vision4Press platform.

Data correspond to usage on the plateform after 2015. The current usage metrics is available 48-96 hours after online publication and is updated daily on week days.

Initial download of the metrics may take a while.