Open Access

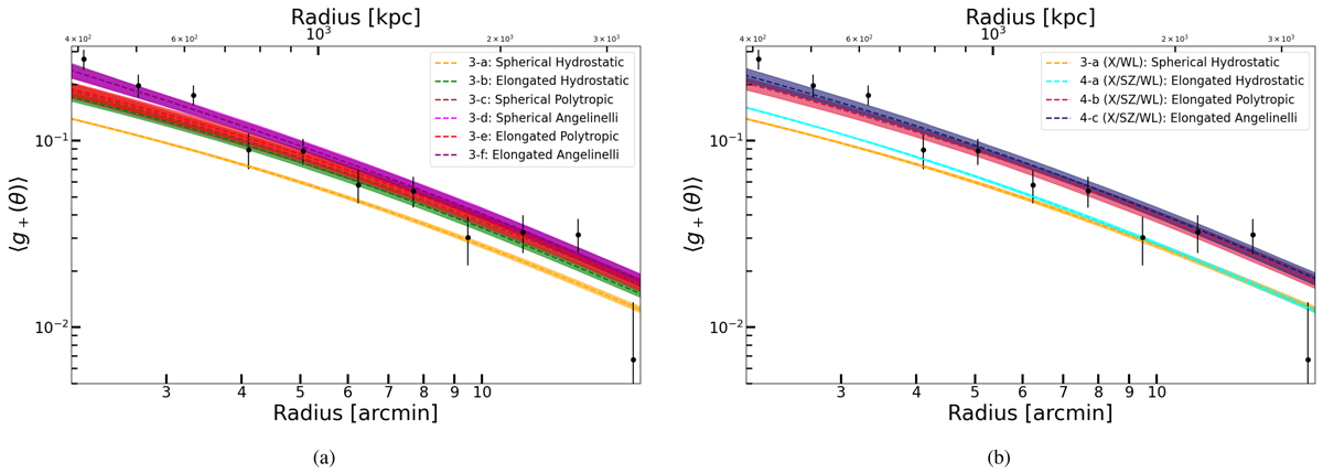
Fig. 7.

image

Download original image

A1689 NFW joint analysis, fit to the tangential shear profile (black points). Corresponding fits to gas observables can be found in appendix. a) Joint X-ray and WL analysis results. X-ray 1D profiles (surface brightness and temperatures) as well as the tangential shear profile are fitted jointly for every PNT (Angelinelli or polytropic parameterization) and elongation combination (models 3-a through 3-f; see Sect. 4.3 and Table 2). b) joint X-ray, SZ, and WL analysis results (see Sect. 4.4). All gas observable profiles (SX, TX, Compton y) are fitted jointly with the tangential shear profile. The three joint X-ray, SZ, and WL results shown here include the elongation parameter (i.e., elongated models) and are either not integrating any non-thermal pressure (4-a hydrostatic; cyan) or one of our two models (4-b polytropic, red; 4-c Angelinelli, purple). We also display the simple joint X-ray and WL joint analysis (3-a; orange) for a visual comparison with the spherical case.

Current usage metrics show cumulative count of Article Views (full-text article views including HTML views, PDF and ePub downloads, according to the available data) and Abstracts Views on Vision4Press platform.

Data correspond to usage on the plateform after 2015. The current usage metrics is available 48-96 hours after online publication and is updated daily on week days.

Initial download of the metrics may take a while.