Open Access

Fig. 3

image

Download original image

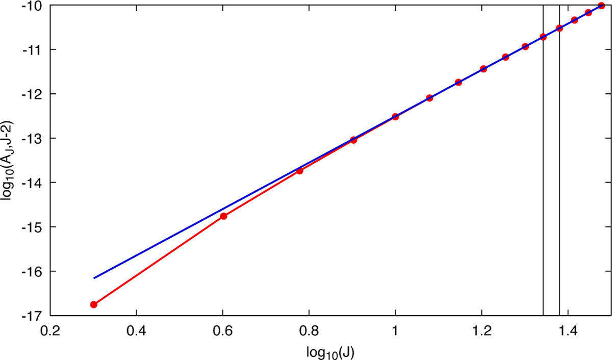
Electric quadrupole radiative rotational transition probabilities from van Dishoeck & Black (1982). The positions of J = 22 and 24 are shown by straight lines. The points above are extrapolations.

Current usage metrics show cumulative count of Article Views (full-text article views including HTML views, PDF and ePub downloads, according to the available data) and Abstracts Views on Vision4Press platform.

Data correspond to usage on the plateform after 2015. The current usage metrics is available 48-96 hours after online publication and is updated daily on week days.

Initial download of the metrics may take a while.