Open Access

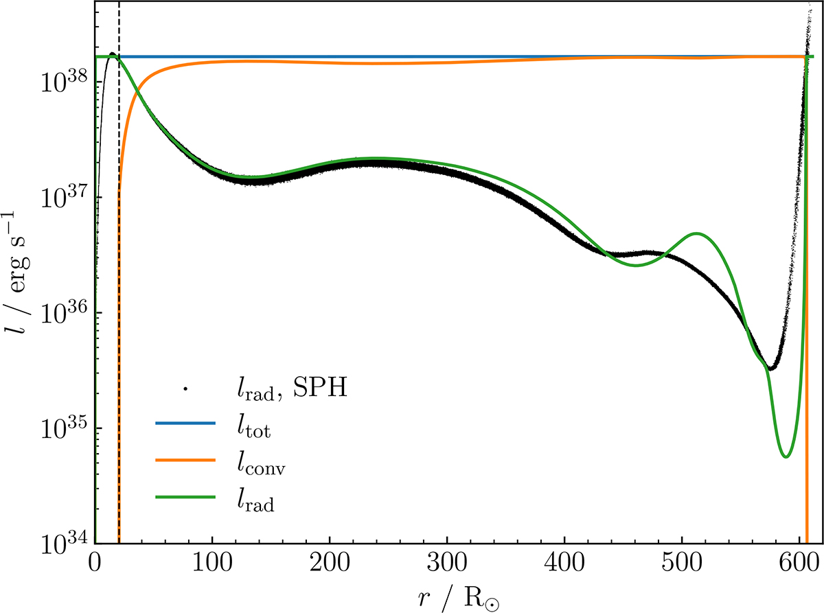
Fig. 1.

image

Download original image

Comparison of the initial radiative luminosity profile (lrad) with that of a MESA RSG reference model. Each black dot shows one of two million SPH particles. For the MESA model, the blue line shows the total luminosity, the orange line shows the convective luminosity, and the green line shows the radiative luminosity. The dashed vertical line divides the convective envelope from the radiative interior.

Current usage metrics show cumulative count of Article Views (full-text article views including HTML views, PDF and ePub downloads, according to the available data) and Abstracts Views on Vision4Press platform.

Data correspond to usage on the plateform after 2015. The current usage metrics is available 48-96 hours after online publication and is updated daily on week days.

Initial download of the metrics may take a while.