Open Access

Fig. A.1.

image

Download original image

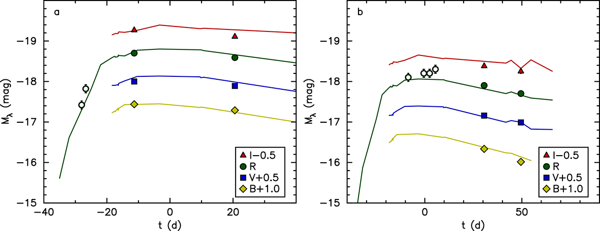
a) Absolute light curves of SN 2003G (points) with the estimated negligible host galaxy extinction adopted. The early observations by Graham et al. (2003) are shown with open symbols. The comparison light curves (solid lines) of SN 1999eb (Sect. 3) are shown vertically shifted by −0.1 mag. b) Absolute light curves of SN 2004gd (points) with the estimated host galaxy extinction of AV = 1.0 mag; the photometry of the event was carried out with Pan-STARRS1 DR2 images as rough templates. The early observations by Moore et al. (2004) are shown with open symbols. The comparison light curves (solid lines) of SN 1999eb are shown vertically shifted by +0.6 mag.

Current usage metrics show cumulative count of Article Views (full-text article views including HTML views, PDF and ePub downloads, according to the available data) and Abstracts Views on Vision4Press platform.

Data correspond to usage on the plateform after 2015. The current usage metrics is available 48-96 hours after online publication and is updated daily on week days.

Initial download of the metrics may take a while.