Open Access

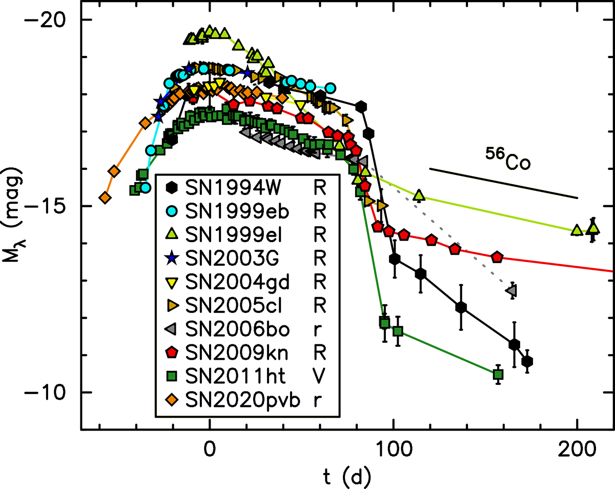
Fig. 2.

image

Download original image

Absolute light curve selection of spectroscopically SN 1994W-like events. The epoch t = 0 d corresponds to the estimated light curve peak. The sample includes SNe 1994W (Sollerman et al. 1998, and references therein), 1999eb (see Sect. 3), 1999el (Di Carlo et al. 2002), 2003G (see Sect. 4), 2004gd (see Sect. 4), 2005cl (Kiewe et al. 2012), 2006bo (Taddia et al. 2013), 2009kn (Kankare et al. 2012), 2011ht (Roming et al. 2012; Humphreys et al. 2012; Mauerhan et al. 2013), and 2020pvb (Elias-Rosa et al. 2024). The R-band light curve of SN 1994W was partly generated based on the B and V-band observations of the event, and the colour evolution of SN 2009kn. The luminosity slope is shown for the radioactive decay of 56Co assuming complete γ-ray trapping.

Current usage metrics show cumulative count of Article Views (full-text article views including HTML views, PDF and ePub downloads, according to the available data) and Abstracts Views on Vision4Press platform.

Data correspond to usage on the plateform after 2015. The current usage metrics is available 48-96 hours after online publication and is updated daily on week days.

Initial download of the metrics may take a while.