Open Access

Fig. 2

image

Download original image

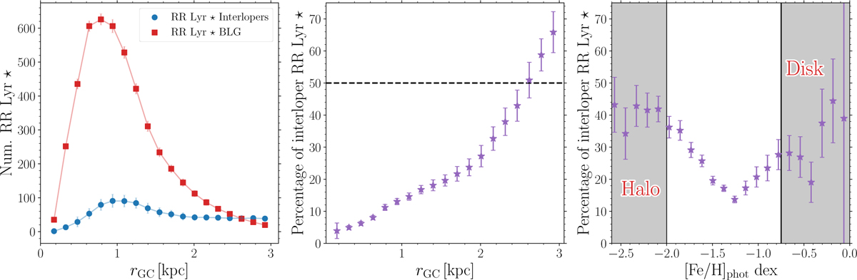
Left: distribution of Galactic bulge (red squares, rapo < 3.5 kpc) and interloping (blue circles, rapo > 3.5 kpc) RR Lyrae as a function of galactocentric radius. Middle: fraction of interloping RR Lyrae as a function of galactocentric radius. Right: fraction of interloping RR Lyrae in bins of photometric metallicity. The highlighted regions mark the boundaries in metallicity for the Galactic halo and disk.

Current usage metrics show cumulative count of Article Views (full-text article views including HTML views, PDF and ePub downloads, according to the available data) and Abstracts Views on Vision4Press platform.

Data correspond to usage on the plateform after 2015. The current usage metrics is available 48-96 hours after online publication and is updated daily on week days.

Initial download of the metrics may take a while.