Open Access

Fig. 11

image

Download original image

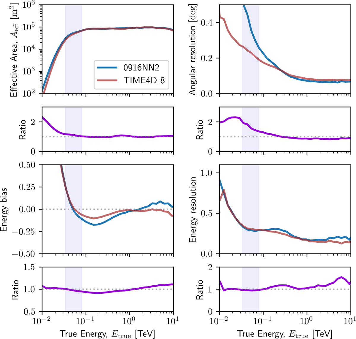
Comparison of the instrument response functions (effective area, angular resolution, energy bias, and energy resolution) between the current default tail-cut cleaning and the best candidate for the detection criterion, TIME4D_8. The blue shaded region indicates the energy range of interest for the detection criterion.

Current usage metrics show cumulative count of Article Views (full-text article views including HTML views, PDF and ePub downloads, according to the available data) and Abstracts Views on Vision4Press platform.

Data correspond to usage on the plateform after 2015. The current usage metrics is available 48-96 hours after online publication and is updated daily on week days.

Initial download of the metrics may take a while.