Open Access

Fig. 4

image

Download original image

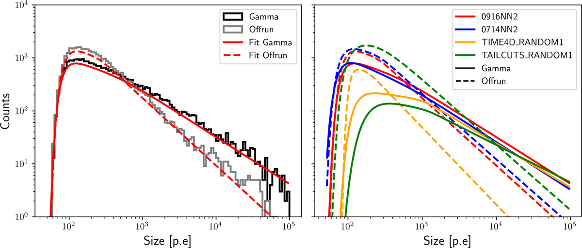
Left: size distribution for gamma MC and off-data events, with corresponding fitted function for the default tail-cut candidate 0916NN2. Right: fitted function for gamma MC (solid line) and off-data (dashed line) for different example cleanings (shown in different colors).

Current usage metrics show cumulative count of Article Views (full-text article views including HTML views, PDF and ePub downloads, according to the available data) and Abstracts Views on Vision4Press platform.

Data correspond to usage on the plateform after 2015. The current usage metrics is available 48-96 hours after online publication and is updated daily on week days.

Initial download of the metrics may take a while.