Open Access

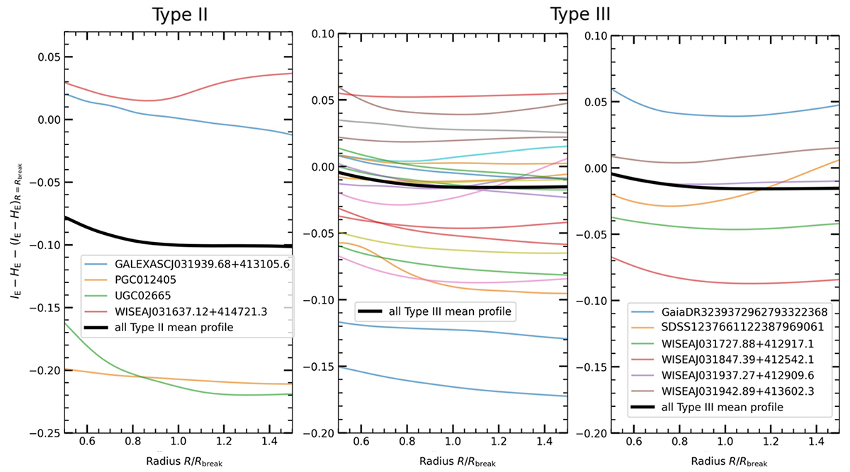
Fig. 16.

image

Download original image

Normalised magnitude difference IEHE as a function of radius R/Rbreak for galaxies Type II, Type III and Type III with a detected U-shaped profile. The profiles are normalised around R = Rbreak. The minimum value within the range 0.5 ≤ R/Rbreak ≤ 1.5 is identified.

Current usage metrics show cumulative count of Article Views (full-text article views including HTML views, PDF and ePub downloads, according to the available data) and Abstracts Views on Vision4Press platform.

Data correspond to usage on the plateform after 2015. The current usage metrics is available 48-96 hours after online publication and is updated daily on week days.

Initial download of the metrics may take a while.