Open Access

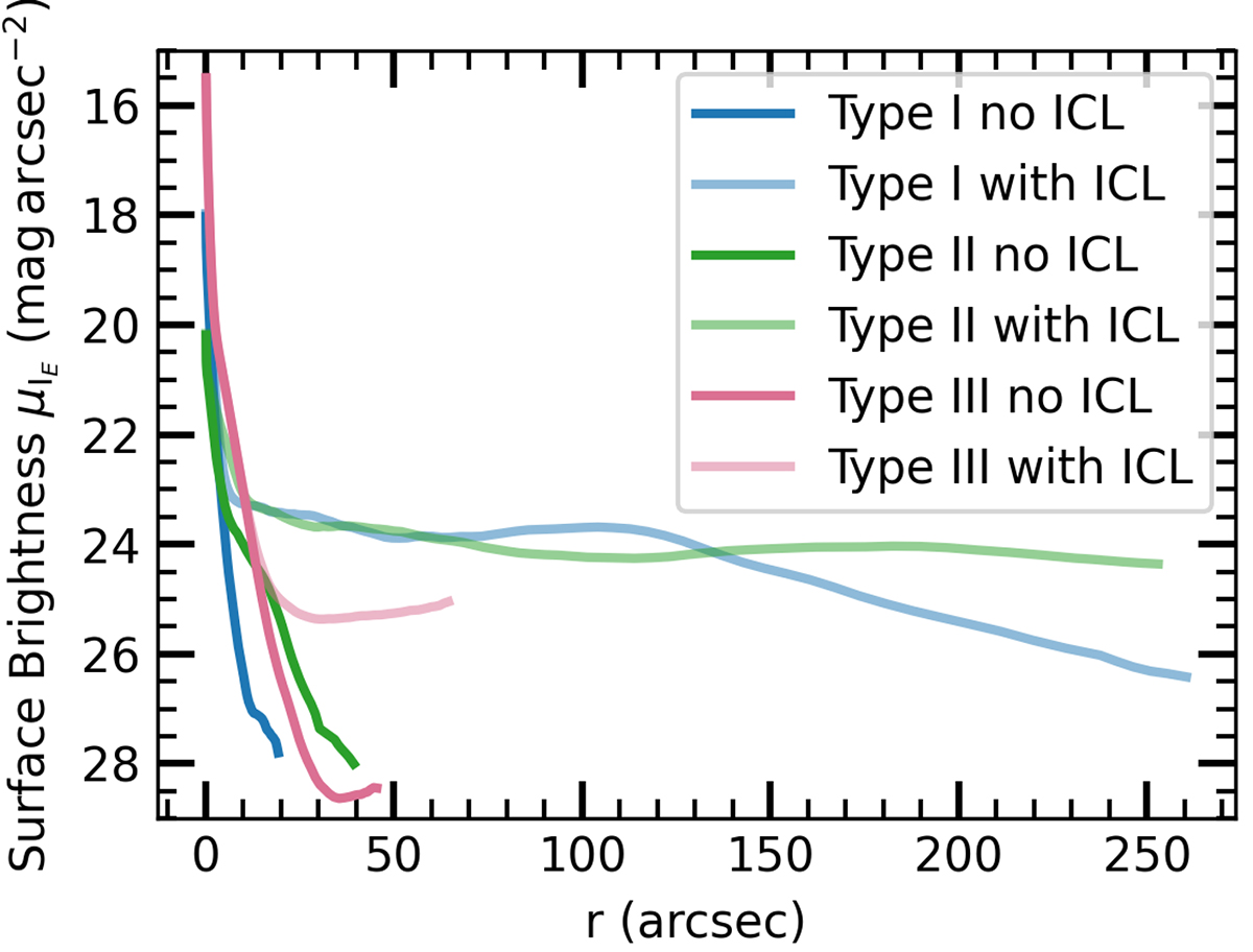
Fig. A.1.

image

Download original image

Surface brightness profiles μIE (in mag arcsec−2) for galaxies located at the minimum distance from the centre. The curves represent different types (Type I, Type II, and Type III) with or without the ICL component.

Current usage metrics show cumulative count of Article Views (full-text article views including HTML views, PDF and ePub downloads, according to the available data) and Abstracts Views on Vision4Press platform.

Data correspond to usage on the plateform after 2015. The current usage metrics is available 48-96 hours after online publication and is updated daily on week days.

Initial download of the metrics may take a while.