Open Access

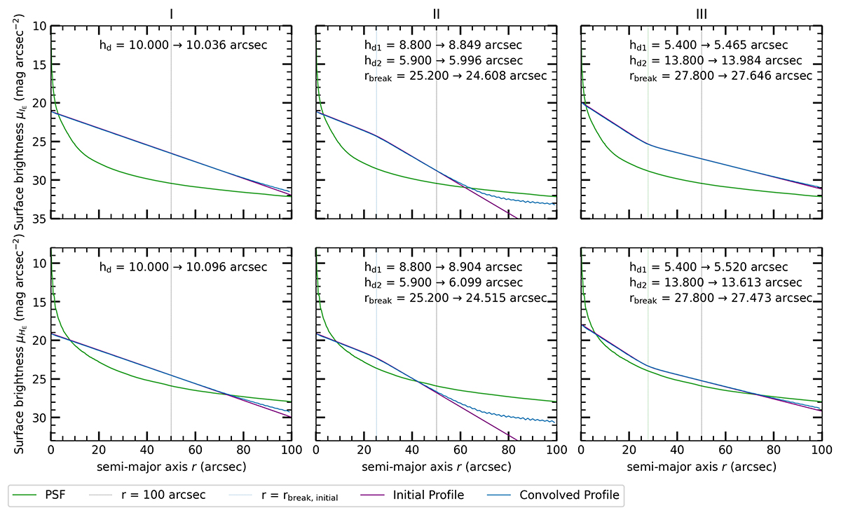
Fig. B.1.

image

Download original image

Influence of the extended PSF (IE on top and HE on bottom) on surface brightness profiles of Type I (right), Type II (middle), and Type III (left): the green line is the IE PSF (Cuillandre et al. 2025a); the purple lines give the initial profile which is pure simple exponential for Type I or double exponential for Type II; the blue lines correspond to the profile from the convolution of the initial profile and the PSF.

Current usage metrics show cumulative count of Article Views (full-text article views including HTML views, PDF and ePub downloads, according to the available data) and Abstracts Views on Vision4Press platform.

Data correspond to usage on the plateform after 2015. The current usage metrics is available 48-96 hours after online publication and is updated daily on week days.

Initial download of the metrics may take a while.