Open Access

Fig. 10.

image

Download original image

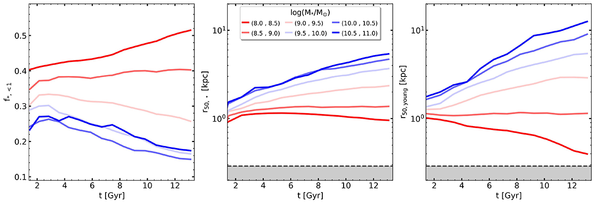
Evolution of i) stellar-mass fraction within r < 1 kpc, f*, < 1 (left panel); ii) median stellar half-mass radius, r50, * (centre panel); and iii) median half-mass radius of young stars (i.e. age < 1 Gyr), r50, young (right panel), for the same stacks of galaxies in 0.5 dex M* bins shown in Figure 9. Higher mass galaxies (bluer) show a decreasing enclosed stellar-mass fraction as newly formed stars are born at progressively larger radii, which is consistent with inside-out galaxy growth. Conversely, low-mass galaxies (redder) appear to become increasingly centrally concentrated, with an outside-in trend where newly formed stars are found at progressively smaller galactocentric radii.

Current usage metrics show cumulative count of Article Views (full-text article views including HTML views, PDF and ePub downloads, according to the available data) and Abstracts Views on Vision4Press platform.

Data correspond to usage on the plateform after 2015. The current usage metrics is available 48-96 hours after online publication and is updated daily on week days.

Initial download of the metrics may take a while.