Open Access

Fig. 9.

image

Download original image

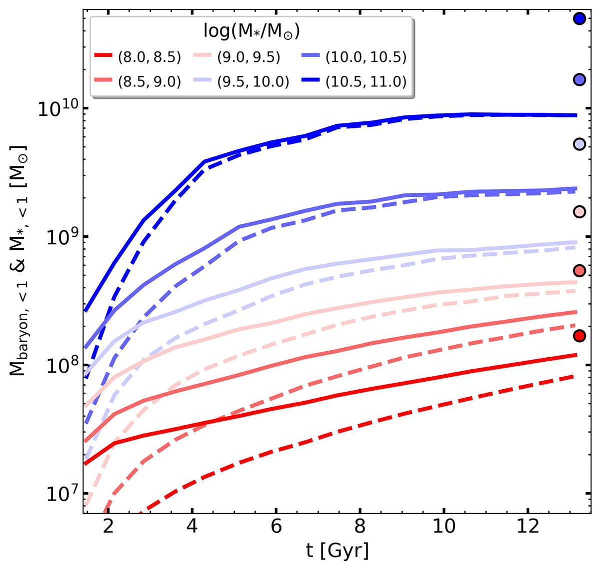
Evolution of median baryonic (solid lines) and stellar mass (dashed lines) in the inner clump (i.e. enclosed within 1 physical kpc) for stacks of galaxies in 0.5 dex M* bins. Lines are colour-coded by total stellar mass at redshift z = 0. The median M* of each bin is shown by the solid circles plotted at t ≈ 13.5 Gyr. The inner clump mass grows gradually in lower-mass galaxies (redder colours), indicating significant gas infall into their central regions and ongoing star formation. The inner clumps of more massive galaxies form early and have little gas left at z = 0.

Current usage metrics show cumulative count of Article Views (full-text article views including HTML views, PDF and ePub downloads, according to the available data) and Abstracts Views on Vision4Press platform.

Data correspond to usage on the plateform after 2015. The current usage metrics is available 48-96 hours after online publication and is updated daily on week days.

Initial download of the metrics may take a while.