Open Access

Fig. 5.

image

Download original image

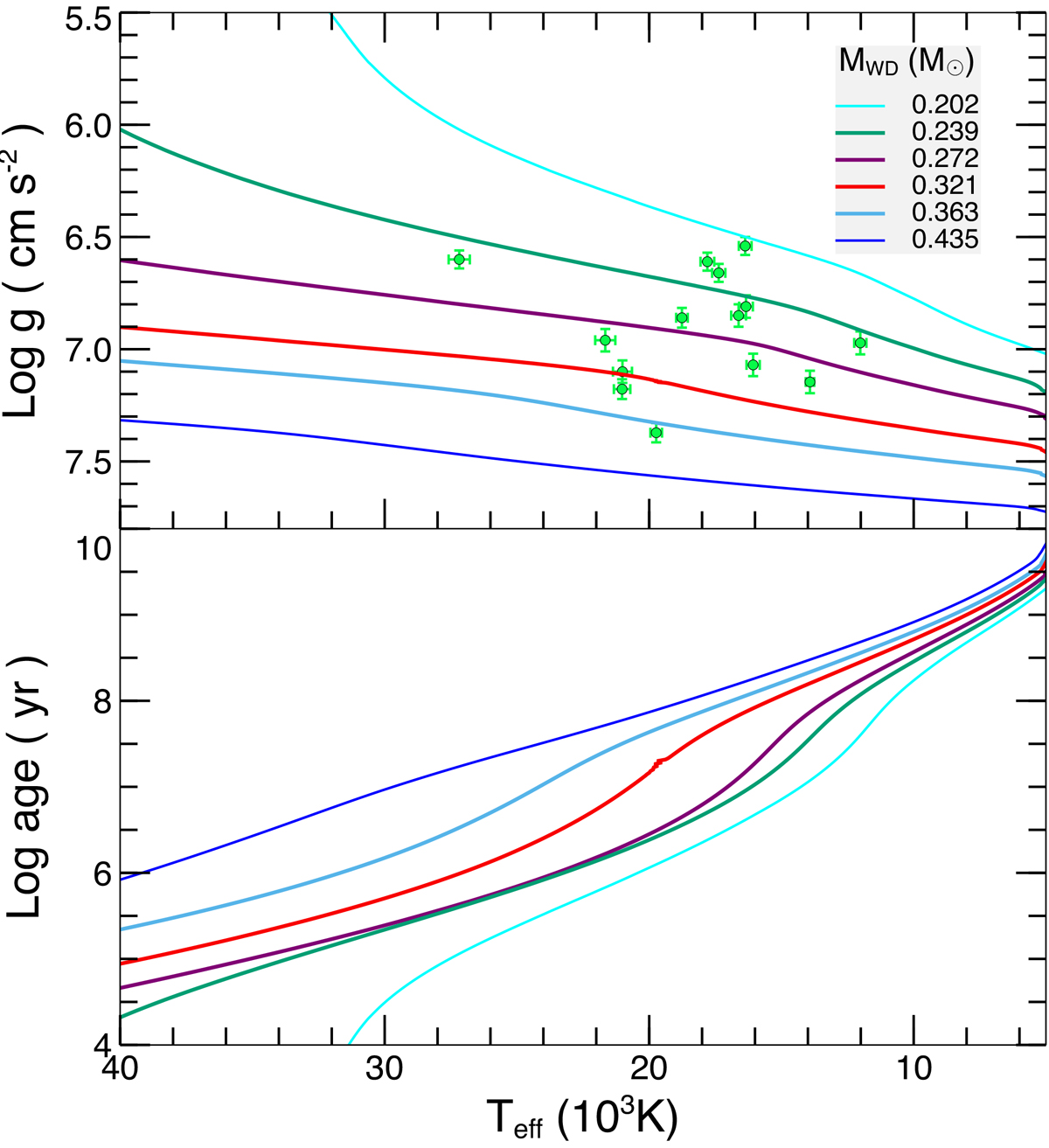
Upper panel: Surface gravity vs. Teff for He WD sequences with minimum MH (no residual H burning). Green symbols mark CE He WDs (P<0.1 day) (Brown et al. 2020). Bottom panel: Evolutionary time since CE ejection vs. Teff. The smooth bend at intermediate temperatures arises from H diffusion from deeper layers, which increases gravity and age.

Current usage metrics show cumulative count of Article Views (full-text article views including HTML views, PDF and ePub downloads, according to the available data) and Abstracts Views on Vision4Press platform.

Data correspond to usage on the plateform after 2015. The current usage metrics is available 48-96 hours after online publication and is updated daily on week days.

Initial download of the metrics may take a while.