Open Access

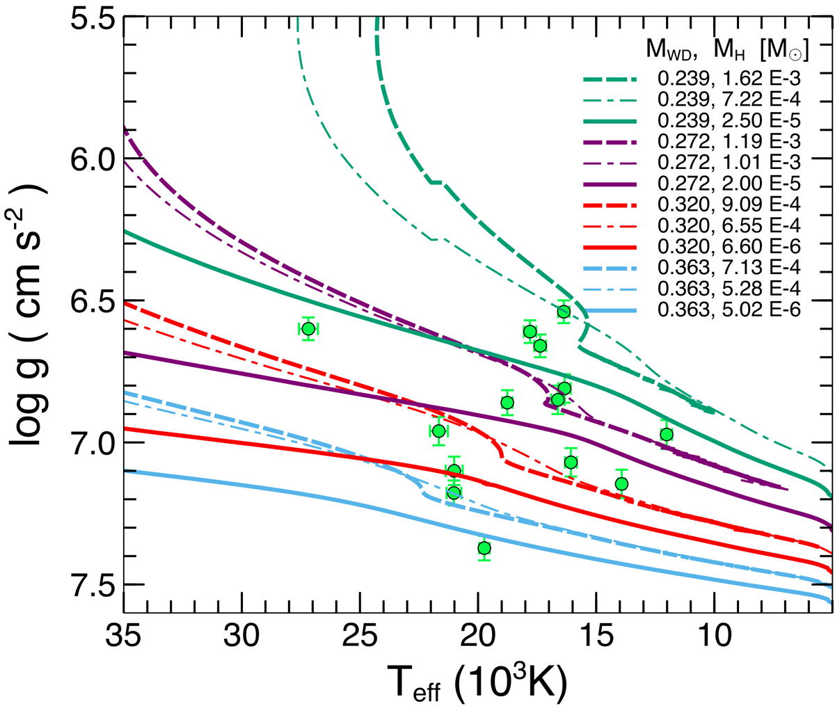
Fig. 9.

image

Download original image

Surface gravity vs. Teff for non-flashing He WD sequences from a CE phase. Thick solid and dashed lines show minimum and maximum MH sequences, respectively, while thin lines indicate intermediate MH values. Green symbols mark CE He WDs (P<0.1 day) (Brown et al. 2020).

Current usage metrics show cumulative count of Article Views (full-text article views including HTML views, PDF and ePub downloads, according to the available data) and Abstracts Views on Vision4Press platform.

Data correspond to usage on the plateform after 2015. The current usage metrics is available 48-96 hours after online publication and is updated daily on week days.

Initial download of the metrics may take a while.