Open Access

Fig. 2

image

Download original image

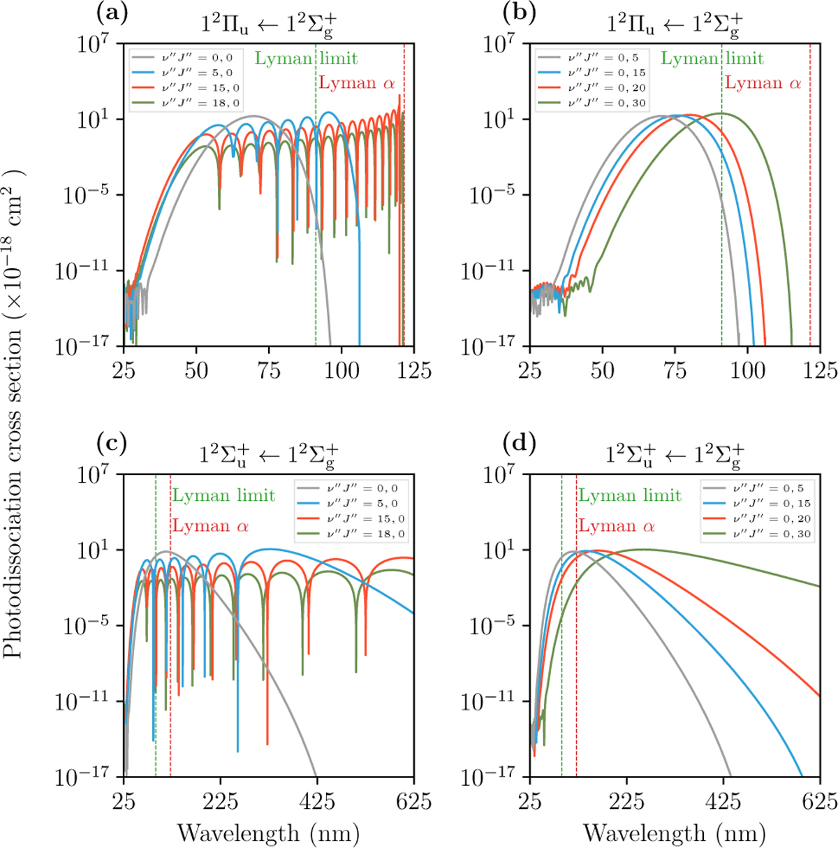
Partial photodissociation cross sections of H2+\[\frame{\text{H}}_2^ + \]. Panels a and c show cross sections for the transitions 12Πu12Σg+\[\frame{1^2}\frame{\frame{\text{\Pi }}_\frame{\text{u}}} \leftarrow \frame{1^2}\frame{\text{\Sigma }}_\frame{\text{g}}^ + \] and 12Σu+12Σg+\[\frame{1^2}\frame{\text{\Sigma }}_\frame{\text{u}}^ + \leftarrow \frame{1^2}\frame{\text{\Sigma }}_\frame{\text{g}}^ + \] from initial rovibrational levels with rotational quantum number J″ = 0. Panels b and d correspond to transitions from vibrational ground state levels with quantum number ν″ = 0.

Current usage metrics show cumulative count of Article Views (full-text article views including HTML views, PDF and ePub downloads, according to the available data) and Abstracts Views on Vision4Press platform.

Data correspond to usage on the plateform after 2015. The current usage metrics is available 48-96 hours after online publication and is updated daily on week days.

Initial download of the metrics may take a while.