Open Access

Fig. 2.

image

Download original image

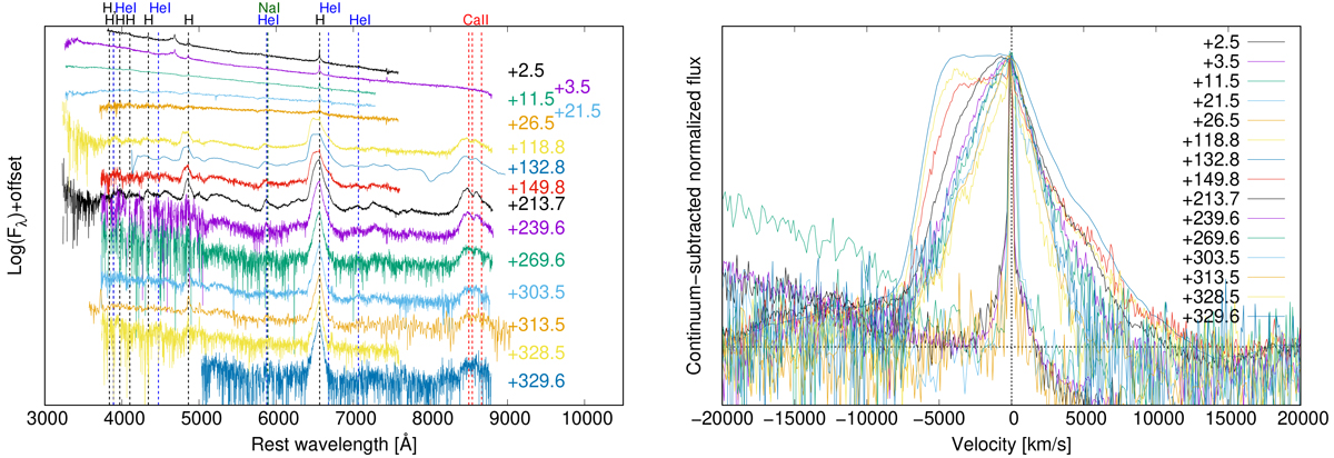
Spectra of SN 2018khh. Left panel: Spectral evolution. All spectra are corrected for the assumed extinction (see Section 2). Right panel: Time evolution of the Hα line. The continuum level is assumed to be a constant value and estimated from the averaged value from −3500 to −2500 km s−1 and around −20 000 km s−1 in the velocity space, for the first 5 epochs and the later epochs, respectively. The vertical and horizontal dotted lines show the zero velocity and the assumed continuum level, respectively.

Current usage metrics show cumulative count of Article Views (full-text article views including HTML views, PDF and ePub downloads, according to the available data) and Abstracts Views on Vision4Press platform.

Data correspond to usage on the plateform after 2015. The current usage metrics is available 48-96 hours after online publication and is updated daily on week days.

Initial download of the metrics may take a while.